Harry Cleaver

Att läsa Kapitalet politiskt

1979


Original titel: "Reading Capital Politically"
Publicerad: 1979, första svenska utgåva 2007
Översättning: Roh-nin Förlag och Gustav Sjöberg
Digitalisering: Jonas Holmgren


Innehåll:


V: Värdeformen

Kapitlet om värdeformen börjar med den enkla värdeformen och slutar med penningformen. Pengar är det ultimata uttrycket för värde, och vill man förstå moderna kriser är det förvisso nödvändigt att inse att pengar är en form av värde. Det är viktigt att bringa klarhet i den roll pengar spelar i kapitalisternas motattacker. Det är nämligen inte bara så att kapitalistklassen försöker ta pengar från oss genom direkta åtgärder, genom uppsägningar och lönesänkningar, eller indirekt, genom prishöjningar och nedskärningar i den offentliga sektorn. I angreppet ingår också förändringar av hela det monetära systemet. De mest dramatiska är den systematiska värdeminskningen genom inflation och omorganiseringen av det internationella monetära systemet. För att kunna förstå vad som här står på spel, måste vi börja med att reda ut vad pengar egentligen är för något.

Vad är pengar? Vilken roll spelar de i klasskampen? Spelar de samma roll idag som på Marx tid? Dessa frågor besvaras naturligtvis inte i Kapitalet, men boken förser oss likväl med en grundläggande förståelse av pengars natur och deras roll i kapitalismen som i huvudsak gäller även för idag. Med hjälp av dessa insikter är det lättare att förstå samtidens skeenden, det vill säga hur kapitalet använder pengar mot oss som ett vapen.

Men för att förstå hur pengar används mot arbetarklassen behöver vi inte ens vänta på utforskandet av Marx analys av värdeformen. Låt oss istället gå direkt till borgerliga ekonomer. En av de tydligaste roller inflationen spelat efter andra världskriget, och ett tydligt tecken på vilken roll inflationen kan spela i klasskampen, är att den indirekt förvandlat arbetarklassens inkomster i tredje världen till kapital. Detta har varit en uttalad strategi som möjliggjorts genom lagstiftning och finanspolitik. Pengarnas värdeminskning har resulterat i att arbetarnas reallöner kraftigt minskat. Eftersom kapitalisternas tillgångar ökar i och med inflationen innebär det att värde överförs från arbetarklassen till kapitalistklassen. När borgerliga utvecklingsekonomer, som W.A. Lewis, rättfärdigar detta använder de sig av samma teori om "måttfullhet" som Marx blottade i Kapitalet ett århundrade tidigare.[1] Borgerligheten, heter det, har större vilja att investera och spara sina inkomster än den slösaktiga arbetarklassen. Därför menar dessa "utvecklingsekonomer" att en överföring av realinkomster från ansvarslösa arbetare till kloka och förutseende kapitalister leder till ökade investeringar och ökat sparande. Med andra ord söker kapitalisterna försäkra sig om alltmer rikedom och öka ackumulationen genom att sänka pengarnas värde. Detta, om något, är att använda pengar som ett vapen.

Trots så pass tydliga exempel på hur pengar används som vapen, har vänstern i allmänhet och marxister i synnerhet inte haft mycket att säga om värdeformen, penningformen och pengarnas betydelse under kapitalismen. Det är frestande att påstå att det skulle röra sig om ett intellektuellt felslut, en tendens att betrakta varucirkulation som ett "ytproblem" som reagerar på förändringar i produktionsförhållanden. Värde "skapas" i produktionen och "realiseras" bara i varucirkulationen. Värdets substans betraktas här som det viktiga, som värdets essentiella och autonoma verklighet. Värdeformen däremot hålls för att vara extern och betydelselös, en oviktig detalj som saknar relation till varans innehåll. Förändringar i formen, som till exempel inflation, betraktas som oundvikliga resultat av förändringar i produktionen. Och eftersom cirkulationen betraktas som en avspegling av kampen i och kring produktionen, anses inte pengar och varor spela någon viktig roll i själva kampen. Vi ska dock inte härleda vänsterns ointresse för värdeformen och pengar till ett intellektuellt motiverat missförstånd av förhållandet mellan produktion och cirkulation, utan tvärtom visa varför vänsterns politik gång på gång leder till att värdeformen ignoreras.

Denna politik genomgick en avgörande fas under andra internationalen. Jag har redan nämnt tidens debatt kring parti/fackföreningar/parlament och ekonomi/politik. På sätt och vis handlade debatten om form - närmare bestämt om formerna för hur arbetarklassen ska organiseras. Socialdemokraterna argumenterade för parlament och fackföreningar medan bolsjevikerna förespråkade det leninistiska partiet. Anledningen till att man förkastade de socialdemokratiska idéerna låg i att man betraktade störtandet av kapitalismen som klasskampens huvudsakliga mål. För Lenin och andra innebar detta att tampas om statsmakten med andra välorganiserade, icke arbetarklassbaserade grupper. Bolsjevikernas framgångsrika maktövertagande i Ryssland 1917 befäste för den ortodoxa marxismen i årtionden framåt herraväldet av ett fokus på ett givet innehåll (störtande av staten) inom en given form (partiet). En följd av detta var att organisationer utanför partiet och ett stort antal olika kamper kom att betraktas som sekundära och oviktiga.

När partiet väl tagit makten menade man att andra problem kunde hanteras. Vid olika tillfällen insåg Lenin att återinförandet av borgerliga organisationsformer, som till exempel lönehierarkier, innebar att ta ett steg tillbaka. Andra gånger var han blind för förhållandet mellan form och klassinnehåll. Hans åsikter om taylorismen, som jag redogjorde för i förra kapitlet, är ett tydligt exempel på detta. Tendensen att skilja form och innehåll (att ignorera formens klasskaraktär) blev allt vanligare i takt med att utveckling och ackumulation av kapital blev till Partiets huvudsakliga mål. Motståndet mot andra organisationsformer visar sig tydligt i Partiets negativa attityd till arbetarråden i Västeuropa efter första världskriget, samt i krossandet av sovjeterna i Ryssland. Det kanske mest dramatiska exemplet där förhållandet mellan form och innehåll ignorerats, är Gulags tvångsarbetsläger, som inte ansågs finnas till för att kontrollera arbetarklassen, utan för att uppnå revolutionära mål och på så vis skydda densamma.

De enorma problemen under denna tid, till exempel relationen mellan arbetare och bönder, utländsk intervention och en låg grad av industriell utveckling, gör i mycket tendensen enklare att förstå. Likväl har den av vänstern betraktats som extern i förhållande till frågan om formerna för kamp och organisering. Istället för att inse att idén om det dominerande Partiet var historiskt betingad och en orsak till den ryska revolutionens misslyckande, betraktas den helt ahistoriskt av den ortodoxa vänstern alltjämt som en evig sanning.[2] "Gå med i partiet och krossa staten", så har det alltid låtit, oavsett parti eller stat.

Och efter maktövertagandet? I debatten om "socialistisk" utveckling försvinner diskussionen om samma "utvecklings" klasskaraktär. Återigen råder förvirring kring relationen mellan form och innehåll. Nu är dock fokus det motsatta. När vänstern talar om "socialism" talar man bara om form (organisering av produktionen) och aldrig om innehåll (påförandet av arbete). Man döljer därmed målsättningen att sätta alla i arbete för att öka ackumulationen. Bakom arbetarklasspartier och arbetarstyre lurar den paradox Marx så ofta attackerade: ökad produktivitet kommer inte att befria arbetarna från arbete och från sin roll som arbetarklass. Det kommer istället att innebära ännu mer arbete och ännu mer ackumulation.

Tendensen att skilja mellan form och innehåll är ett återkommande inslag i diskussionen om värde. Den sista generationen av amerikanska marxistiska värdeteoretiker ingår i denna tradition. Både Paul Sweezy och Ronald Meek, två mycket inflytelserika marxistiska ekonomer, fokuserar på värdets substans och mått till priset av ett nästan fullständigt uteslutande av värdets form. Sweezys "kvalitativa värdeproblem" handlar bara om kvaliteten på abstrakt arbete och samhälleligt nödvändig arbetstid, medan han helt bortser från frågor rörande form.[3] Meeks kommentarer till Kapitalets första kapitel ägnar femton sidor åt det kvalitativa reduktionsproblemet men bara ett kortare stycke åt värdeformen (åt vilken Marx ägnade 24 sidor).[4] Trots det faktum att marxister som Sweezy och Baran erkänner den keynesianska perioden som ny - och även tillägnar sig några av Keynes analysverktyg - förstår de aldrig den roll pengar spelar per se i den keynesianska omvandlingen av stat och ekonomi. Trots att de inser att de svartas, studenternas och kvinnornas kamp är de viktigaste kamperna under sextiotalet, förstår de aldrig att dessa kamper utgör de oavlönade delarna av arbetarklassens kamper. Därmed missar de också vikten av den roll pengar spelar i kapitalets motattacker. Den kapitalistiska staten använder pengar som ett maktinstrument mot arbetarklassen. Arbetarklassens pengar sjunker i värde genom att kapitalistklassen höjer priserna på livsmedel och energi. Vi kan inte acceptera en politisk eller teoretisk diskussion som bortser från dessa fakta.

Vi kan heller inte acceptera en diskussion om hur arbetarna ska organiseras där våra val begränsas till föråldrade alternativ. Det socialdemokratiska alternativet, demokratisk parlamentarism, tar inte hänsyn till det borgerliga inslagen och den begränsade nytta arbetarklassen skulle ha av ett sådant styre, vänsterns fokus på klasskampens innehåll reducerar å sin sida kampen till Partiets kamp. Socialdemokraterna åter betraktar utomparlamentarisk kamp som "odemokratisk" och antisocial(istisk). Efter maktövertagandet i de socialistiska länderna betraktar vänstern kampen för kortare arbetsdagar och högre löner som kontrarevolutionär och omstörtande. I båda fallen används polismakt för att skydda kapitalisterna och för att disciplinera arbetarklassen. Watts och Budapest, Detroit och Prag: likheterna är slående.

Men klasskampen överskrider gång på gång dessa begränsningar. I både borgerliga och socialistiska demokratier vägrar arbetare att finna sig i kapitalisternas "legitima" hinder. Kampen förs genom vilda strejker, väpnad kamp och övertagande av arbetsplatser. Klasskampen fortsätter, från Amerikas kolgruvor och städer till Rysslands veteåkrar och fabrikerna i södra Kina. En av de mest framträdande egenskaperna hos den nuvarande krisen är den ökande mängden former för hur klasskampen bedrivs. För att förstå detta, och för att därmed kunna organisera oss än bättre, måste vi förstå kampens mest grundläggande form. Flera aspekter av denna form kan vi läsa om i Marx analys av värdeformen.

Marx analys av bytesvärdets form, eller värdeformen, är uppdelad i fyra sektioner:

1. Enkel eller tillfällig värdeform

2. Utvecklad värdeform

3. Allmän värdeform

4. Penningform

Sektionerna härrör från de olika analytiska stegen i teorin om värdeformen. Marx går från den enklaste formen, relationen mellan två varor (xA = yB), till den fullt utvecklade formen (xA = ySEK). För varje steg får värdeformen en mer fullständig bestämning som en specifik beståndsdel i varan. Marx visar att precis som bruksvärde får uttryck och existens genom varans kroppsliga form, på samma sätt får värde uttryck och existens i form av pengar. Utvecklingen genom dessa steg är en utveckling i uttryckandet av värdet fenomenellt på ett allt mer allmänt sätt. Det börjar med en jämförelse med en slumpvis vald annan vara, fortsätter med jämförelser med ett antal olika varor, sedan vilken vara som helst som generellt går att byta med alla andra varor, och till sist en given vara som kommit att fastställas genom sedvana: pengar. Vi kommer på så vis inte bara att förstå det fullt utvecklade uttrycket för värde utan även pengarnas roll i den kapitalistiska ekonomin. I Grundrisse, där Marx ännu inte utvecklat den framställningsform han skulle komma att använda i Kapitalet, är det ändå tydligt hur viktig han höll förståelsen av pengar för analysen av värde och abstrakt arbete. I de anteckningsböcker som utgör "kapitlet om pengar" diskuteras många av de bestämningar vi funnit i det första kapitlet, inte som abstrakta kvaliteter hos varor i allmänhet utan som egenskaper hos pengar, och pengar framstår där som den ultimata varan.

 

Enkel eller tillfällig värdeform

"[D]en enklaste varuformen", skriver Marx till Engels 1867, "innehåller penningformens hela hemlighet och därigenom också - innerst inne - alla borgerliga former av arbetsprodukten."[5]

Marx börjar följaktligen med den enklaste varuformen: ett utbyte mellan två varor i en viss mängd.

x vara A = y vara B
        (är värd)

Det Marx visar är ganska enkelt: hur det kommer sig att vara A genom sitt bytesvärde får ett oberoende uttryck och en konkret manifestation i vara B. Denna enkla relation kallas också tillfällig eftersom det är en tillfällighet vilken vara som uttrycker en annan varas värde. Trots att relationen är formulerad som en matematisk ekvation är den inte en sådan. Marx är noga med att poängtera att likhetstecknet i detta fall betyder "är värd". Begreppet "är värd" är inte reversibelt. Formeln säger att x stycken A är värda y stycken B. Detta är inte samma sak som att y stycken B är värda x stycken A. Om x stycken A är värda y stycken B uttrycker B värdet av A. Och omvänt, om y stycken B är värda x stycken A uttrycker A värdet av B. Mycket av analysen i denna sektion berör denna irreversibla relation och dess konsekvenser.

Marx börjar med den kvalitativa aspekten och hoppar över de kvantitativa konstanterna x och y. Han formulerar relationens asymmetriska natur genom att undersöka "formerna inom formen".

Vara A kallas den relativa värdeformen. A:s värde uttrycks i, och i förhållande till, vara B. Vara B kallas ekvivalentformen, eftersom den fungerar som materiell ekvivalent till värdet av vara A. Vara A får alltså sitt värde uttryckt medan vara B (i dess bemärkelse som kroppsligt bruksvärde) tjänar som den fenomenella form som utgör framträdandet av vara A:s värde. Det är därför bytesvärdet är värdeformen. Det är en manifestation av värde, den form i vilken värde framträder. Det är också därför vi måste kasta om formeln, till yB är värda xA, för att kunna uttrycka B:s värde. Då blir B den relativa värdeformen och A ekvivalentformen.

Återigen finner vi både motsättning och enhet på en och samma gång. Motsättning eftersom den relativa värdeformen och ekvivalentformen är varandras motsatser och bildar två motsatta poler, enhet eftersom de båda polerna partiellt uttrycker bytesvärdets enkla form i dess helhet. Tillsammans är de ömsesidigt beroende och oskiljaktiga. A kan inte ha en relativ form om den inte har en ekvivalentform, B, och tvärtom. Vi finner alltså en "motsatsernas enhet" precis som i fallet med en varas bruksvärde och bytesvärde. De två delarna motsvarar den faktiska bytesprocessens två sidor. Den som äger ett föremål får reda på vad föremål "är värt" genom att byta det mot något. Det enda som krävs är något som uttrycker föremålets värde. För att få reda på om ägaren har gjort en "bra" affär måste ekvivalenten i sin tur bli såld igen för att se om det som den "är värd" uttrycks av ett föremål som motsvarar det ursprungliga föremålet. Denna motsatsernas enhet har, precis som bytes- och bruksvärde, samma form som klasskampen: två motsatta perspektiv och krafter som är förenade i en motstridig helhet. Detta blir tydligt när "föremålet" är arbetarklassens arbetskraft. När arbetskraft säljs till kapitalet har den relativ form och ersättningen (lön eller annan inkomst) den ekvivalenta formen. En undersökning av var och en av formerna kommer att förtydliga relationen ytterligare.

 

Den relativa värdeformen

Varför är det just värde som B uttrycker och inte någonting annat? Därför att det enda som den andra varan har gemensamt med A är värde. Detta beror på att de har olika bruksvärden. Om de inte hade olika utan samma bruksvärde skulle formeln "20 alnar linneväv är värda 20 alnar linneväv" kunna uttrycka de många gemensamma egenskaperna hos de två mängderna linneväv. Det skulle då inte längre vara en värdeform, och formeln skulle i sig själv vara lika meningslös som alla andra formler där A är lika med A. Det faktum att värdet är den enda gemensamma egenskapen, gör att värdet är den enda aspekten av A som kan uttryckas av bruksvärdet B i dess annorlunda skepnad.

Vara A har följaktligen en representation av sitt värde i vara B - dess värde får ett oberoende uttryck. Men värde är arbete, och Marx poängterar att relationen mellan de två varorna med nödvändighet representerar relationen mellan det arbete som är nedlagt i respektive vara. Det är genom likställandet av de två arbetsprodukterna som vi kan se det abstrakta arbetet separerat från det nyttiga arbete som producerat produkterna som partikulära varor. Med andra ord: vad vi ser är hur den skenbart fragmenterade världen av bytesvaror ändå uttrycker de underliggande samhälleliga relationerna mellan kapital och arbete. Bytesekvationen uttrycker den reduktion av olika typer av nyttigt arbete till abstrakt arbete som verkställs genom kapitalets samhälleliga arbetsdelning i kampen mot arbetarklassen. Precis som arbetets formbarhet och förändring inbegrep möjligheten att ersätta en arbetare med en annan och därmed arbetets "abstrakta" karaktär, uttrycker utbytet möjligheten att ersätta det arbete som förkroppsligats i en vara med det arbete som förkroppsligats i en annan, och på så vis även värde.

I diskussionen om den relativa värdeformens kvantitativa aspekt poängterar Marx två saker. För det första: det enda sättet storlek kan uttryckas relativt är i termer av en motsvarande kvalitativ enhet. När det väl står klart att de två varorna båda innehåller ett motsvarande värde, är det möjligt att se hur värdets storlek i den ena varan kan uttryckas genom storleken bruksvärde i den andra. För det andra: Marx visar hur värdets uttryck kan variera vid förändringar i produktiviteten hos antingen vara A eller vara B. I den första delens diskussion om den samhälleligt nödvändiga arbetstiden tog Marx upp frågan om vilken inverkan variationer i produktiviteten har, och i den andra delen visade han hur detta var grundat i relativa förändringar hos nyttigt och abstrakt arbete. Vi minns till exempel att om tiden och intensiteten i en varas produktion är konstant så kommer en ökning av dess samhälleliga produktivitet att minska värdet per enhet, i och med att mer bruksvärde kommer att innebära lika mycket totalt värde. Här visar Marx vilka konsekvenser detta får för den enkla värdeformen och för vara A:s kvantitativa uttryck för värde. Detta är uppenbart. Om produktiviteten hos vara A ökar så att dess värde faller, måste det innebära att bytesmängden av vara B minskar så länge produktiviteten hos vara B är densamma. Om produktiviteten hos det nyttiga arbete som producerar vara B ökar - så att värdet per enhet minskar - måste det innebära en ökning av den mängd av vara B som uttrycker värdet av vara A. Om produktiviteten hos båda förändras kan man beräkna den kvantitativa variationen genom att ta hänsyn till båda förändringarna. Detta förklarar varför den relativa värdeformen kallas just relativ. Det relativa värdet av vara A kan förändras (genom att värdet av vara B ändras) även fast värdet av vara A (i termer av abstrakt arbetstid) förblir detsamma. Eller också tvärtom: det relativa värdet kan vara oförändrat trots att värdet av vara A förändrats.

 

Ekvivalentformen

Som vi sett tidigare är en vara i sin ekvivalentform en vara som i sin kroppsliga form - det vill säga sitt bruksvärde - uttrycker den andra varans relativa värde. Låt oss undersöka denna relation närmare. När vi säger att vara B uttrycker värdet hos vara A, talar vi om en förmedlande relation som vi kallar för reflexion. Denna relation innebär att A relateras till en aspekt av sig själv (värde) genom en annan vara, ungefär på samma sätt som en människa som lär känna sitt eget utseende genom en spegel eller får en uppfattning om sin egen personlighet genom andra människors kommentarer.[6] När Marx beskriver hur ekvivalenten innehar denna funktion säger han: "För att åstadkomma en sådan värdespegling får skrädderiet [som producerar vara B] självt inte återspegla något annat än sin abstrakta egenskap av mänskligt arbete."[7] I en fotnot påpekar Marx att Hegel kallade denna typ av relation "reflexionsbestämning".[8] I den första tyska upplagan av Kapitalet skriver Marx, en rocks "existens som ekvivalent ... är så att säga bara linnevävens reflexionsbestämning".[9] Det heter vidare att en "varas relativa värdeform är förmedlad, nämligen genom varans förhållande till en annan vara".[10] Med andra ord kan vara A endast inta en direkt relation till sig själv som värde genom förmedling av en annan vara som i sin alteritet är A:s motsats eller negativitet. På så vis kan en enskild aspekt hos vara A uttryckas. På det här sättet kan vi se hur värdets framträdelse - eller fenomenella form (bytesvärdet) uttrycker sin essens - det vill säga själva värdet. Vi skulle kunna tänka oss den reflexiva förmedlingen i följande termer:

Reflexionens relationer utgör en aspekt av klassrelationernas varuform. Vi kan nu se djupare än den enkla polaritet/enhet som diskuterats ovan. Jag påpekade tidigare att den relativa värdeformen och ekvivalentformen är två motsatta poler, precis som arbetarklassen och kapitalet. Vi ser att på samma sätt som den relativa värdeformen endast får sin betydelse genom ekvivalentformen, uppfattar arbetarklassen sig själv som arbetarklass endast genom sin relation till kapitalet. I själva verket existerar den endast som arbetarklass inom denna relation. Den relativa formen uttrycker följaktligen arbetarklassens perspektiv. Krossas kapitalet upphör arbetarklassen att existera. Och omvänt: vägran att fungera som arbetarklass (genom exempelvis arbetsvägran) krossar kapitalet. Med det språkbruk som använts ovan kan man säga att massan av arbetare får sina gemensamma villkor som arbetarklass förmedlade genom att reflekteras i kapitalets spegel. Det är på så vis arbetarklassen både definierar och kommer till insikt om sig själv. Detta är sant både i termer av klass-i-sig, som innebär att alla arbetare säljer sin arbetskraft för att kunna överleva, och i termer av klass-för-sig, som innebär att arbetarna upptäcker sina gemensamma intressen genom kamp. Kapitalisternas perspektiv motsvarar i sin tur ekvivalentformen. Ekvivalentformen tar fram och uttrycker en unik egenskap hos varor (värde), precis som kapitalet försöker upprätthålla och uttrycka en gemensam egenskap hos arbetare (arbetskraft). Och precis som i arbetarklassens fall är kapitalet kapital enbart när det står i relation till arbetarklassen. Relationen är dock inte parallell. Arbetarklassen försöker bryta sig ut ur detta ömsesidiga förhållande genom att krossa spegeln, medan kapitalet försöker upprätthålla och utöka människors identitet som arbetare.

Marx diskuterar tre "egendomligheter" med ekvivalentformen. För det första att "bruksvärdet förvandlas till uppenbarelseform för sin motsats, värdet." Eftersom värdet hos vara A uttrycks som något annat än sig själv, genom sin relation till ett annat bruksvärde, tydliggörs värdets egenskap av samhällelig relation. "[S]jälva detta uttryck [antyder] att det döljer ett samhällelig förhållande."[11] Detta har vi studerat ovan. För det andra: konkret nyttigt arbete - som är förutsättningen för värde - manifesterar sig själv. Även detta har vi undersökt, i kapitlet om arbetets dubbelnatur. För det tredje förvandlas det arbete som utförs av skenbart enskilda individer "till sin motsatsform, till arbete i omedelbart samhällelig form". Marx påpekar att Aristoteles förstod att utbyte mellan två varor måste innebära att dessa varor har en gemensam nämnare. Han insåg dock inte vilken denna gemensamma nämnare (värde) var, eftersom han levde i ett samhälle baserat på slaveri där det inte fanns någon samhällelig likvärdighet mellan olika arbeten. Därför kunde Aristoteles varken formulera en teori om värdeproducerande arbete eller om hur privat utbyte kunde uttrycka sådant arbete inom samhället. En uppfattning om värde och ekvivalentformens roll kan erhållas först när varuproduktion inte bara är sporadisk utan universell, som i ett kapitalistiskt samhälle där relationen mellan människor reducerats till en relation mellan ägare av varor. I den första tyska upplagan av Kapitalet nämner Marx en fjärde egendomlighet som han diskuterar ingående, nämligen hur denna "fetischkaraktär framträder mer slående i ekvivalentformen än i den relativa värdeformen."[12] I den tredje tyska upplagan, som den nuvarande engelska översättningen baseras på, är alla diskussioner angående varufetischism (och dess kategorier) flyttade till fjärde sektionen. Det enda som återstår är en referens till "det gåtfulla i ekvivalentformen, som drabbar den politiske ekonomens borgerligt krassa sinne." Det "gåtfulla" är det sätt på vilket ekvivalentformen förefaller vara naturligt utrustad med egenskapen att vara ekvivalent, eftersom det är dess materiella, eller naturliga, form som uttrycker värdet hos den andra varan. Kapitalet framställer också sig själv som en "naturlig" relation, då det framställer arbete som en manifestation av den mänskliga naturen istället för som en aktivitet som människor tvingas utföra.

 

Den enkla formens brister och övergången till utvecklad värdeform

Resonemanget kring den relativa formen och ekvivalentformen har gett oss en förståelse för hur den enkla formen av bytesvärde uttrycker en varas värde på ett oberoende och exakt sätt. Marx har därtill visat hur både substansen och måttet på värde med nödvändighet blir verksamt och får ett uttryck i formen. Vi ser också hur den inneboende motsättningen hos varje vara mellan bruksvärde och värde (som speglar relationen mellan klasserna), uppenbarar sig externt i relationen mellan två varor. Uttrycket xA är lika med yB visar hur den materiella formen hos ekvivalentformen B endast gestaltar värdet hos vara A och hur den materiella formen hos A endast gestaltas som ett bruksvärde vars värde är uttryckt i B. Detta visar, tillsammans med det faktum att värde såväl kvantitativt som kvalitativt ligger till grund för denna likhet, hur de element vi hittills analyserat - bruksvärde, bytesvärde, abstrakt arbete, samhälleligt nödvändig arbetstid etc. - kombineras i sina mest elementära relationer i denna enkla värdeform. I den utvecklade formen, den allmänna formen och penningformen kommer fler bestämningar att beaktas för att vi ska få ett mer fullständigt och mer komplext uttryck för värde.

Marx följande diskussion om mer utvecklade värdeformer belyser ett antal aspekter av varuformen som inte finns med i den enkla formen, vilken följaktligen är bristfällig. I den enkla formen uttrycks värdet hos vara A i formen hos B. Men även om detta innebär att dess värde kommer till uttryck av sig självt, finns det icke desto mindre en motsägelse mellan formen och värdets natur. När Marx talar om bristfällighet säger han att den enkla värdeformen endast sätter A:s värde "i förhållande till någon enstaka, från den själv skild varuart istället för att belysa dess kvalitativa likhet och kvantitativa proportionalitet med alla andra varor." Detta är tvivelsutan sant, men varför skulle den göra det? Anledningen återfinns i den tidigare analysen av värde. Där såg vi att värde var ett uttryck för abstrakt arbete. Vi såg också att abstrakt arbete var produkten av ett produktionssätt (det kapitalistiska) där allt arbete underkastades varuformen så att en generell varuproduktion uppstod. Vidare såg vi hur begreppet samhälleligt nödvändig arbetstid baserades på ett genomsnitt från hela det varuproducerande samhället. Om värdets substans och mått följaktligen återspeglar varuformens allmängiltighet måste detta gälla också för värdeformens sätt att uppenbara sig. Värdeformen måste representera relationerna mellan alla varor, varför utvecklingen av värdeformen måste inbegripa framsteg i den här riktningen. Om den enkla värdeformen innebär att A uttrycks i en annan vara B, och vidare att valet av just B är en tillfällighet (därför kallas också ekvivalentformen för tillfällig form), skulle man kunna välja vilken annan vara som helst. Marx säger att antalet "möjliga värdeuttryck för varan begränsas endast av antalet från densamma skilda varuarter." Därav kommer det sig att nästa form, den utvecklade formen av värdet hos vara A, innehåller en serie olika elementära uttryck för detta värde som i princip kan förlängas hur långt som helst. På så sätt upplöses den omedelbara motsättningen mellan den individuella representationen av värdet hos vara A och mångfalden av varor (värdets universalitet). Även denna värdeform har naturligtvis sina motsättningar, vilket ger upphov till efterföljande värdeformer.

 

Utvecklad värdeform

Utläggningen av den enkla värdeformens brister har visat varför den inte ger en fullständig beskrivning av värde. Eftersom den är tillfällig och begränsad till en direkt relation mellan två varor lyckas den inte beskriva förhållandet mellan varje enskild vara och alla andra varor. Nästa självklara steg

resulterar av den tillfälliga naturen hos denna form, och utgör som vi sett summan av alla möjliga uttryck för en enskild varas värde. Detta skapar den välbekanta sekvensen av enkla värdeekvationer, till exempel:

eller

Varje ekvation har den enkla värdeformens karaktär: polariteten mellan den relativa och den ekvivalenta formen, motsatsernas enhet, reflexion och så vidare. På så sätt bevaras den tidigare formen hos den mer fullständiga formen, som därmed innehåller klasskampens alla tidigare relationer.

Den utvecklade värdeformen är utan slut, såtillvida att antalet ekvationer endast begränsas av antalet varor och att kapitalet ständigt ökar antalet varor. Man kan alltså alltid lägga till en ny vara; i teorin saknar formeln begränsningar. Denna ändlöshet ger uttryck för ett av kapitalets mest grundläggande karaktärsdrag - strävan efter oändlighet. Det strävar efter att hela tiden expandera - att lägga fler och fler människor, material och produktion under sin kontroll; en ändlös tillväxt vars enda mål är utökad social kontroll. Här är inte platsen att diskutera källan till denna tillväxt (några tankar lades fram i introduktionen) utan vi nöjer oss med att konstatera att den utvecklade värdeformen uttrycker denna strävan efter oändlighet. Denna oändlighet är givetvis kapitalets perspektiv på sig självt. Arbetarklassens perspektiv är helt annorlunda. Även om arbetarklassens aktivitet då och då har en tendens att utveckla kapitalismen, leder denna utveckling i slutändan till en position där man kan hindra kapitalets strävan efter oändlighet och krossa kapitalismen.

Å andra sidan upptäcker arbetarklassen genom kapitalet en annan form av oändlighet - nämligen att det potentiellt sett finns oändligt många olika sätt att leva. Då kapitalet i sin rörelse öppnar upp en värld av ständigt nya saker och aktiviteter ser arbetarklassen samhällets oerhörda potential bortom traditionens barriärer, som kapitalisterna ständigt revolutionerar, liksom bortom själva kapitalet, som försöker begränsa denna potential efter sina egna intressen.[13]

I denna värdeform resulterar summeringen i att den reflexiva relationen - i vilken det relativa värdet hos A får ett oberoende uttryck genom en partikulär ekvivalent - utvecklas. "Varje annan varukropp blir en spegel av linnevävsvärdet." Det är därför Marx menar att den relativa formen "utvecklas". Ekvivalentformen är däremot fortfarande partikulär, ty även om listan på ekvivalenter är ändlös förblir varje ekvivalent ett enskilt uttryck för det relativa värdet hos A. Det är först i nästa värdeform som ekvivalentformen blir "allmän".

I den utvecklade formen är vara A, vars relativa värde ska uttryckas, slumpmässigt vald. Vi har alltså en situation där alla varor utom en fungerar som ett uttryck för värdet hos alla andra varor. Genom varornas inbördes relationer jämställs på så sätt de olika former av nyttigt arbete som producerat varorna.

Det viktiga med denna "nya" värdeform består enligt Marx i dess omfattning. Eftersom alla varor systematiskt involveras försvinner tillfälligheten. Värdeformen speglar så den samhälleliga totaliteten, ett tillstånd som omfattar hela samhället och som representerar den generaliserade varuproduktionen under kapitalismen.

Hittills har vi studerat relationen mellan värdeformen och uttrycket för värdets substans. Men det finns även en koppling till värdets kvantitet. Hos den enkla formen såg vi hur de kvantitativa proportionerna mellan x och y i utbytet xA = yB gavs av mängden arbete som nedlagts i varje produkt, även om de realiserades först i utbytet. Ytterligare ett skäl till varför formen kallades tillfällig var att storlekarna tycktes vara bestämda av slumpen eller genom en tillfällighet. Men i den utvecklade formen, där tillfällighet och slump försvinner, "blir [det] uppenbart, att det inte är utbytandet som reglerar varornas värdestorlek, utan tvärtom varornas värdestorlek som reglerar deras bytesförhållanden."

 

Den utvecklade värdeformens brister

Även om den här värdeformen ger oss en mer fullständig föreställning om värde, i det att den tydligt påvisar en aspekt av hur alla varor är relaterade till varandra, menar Marx att även denna form är inadekvat. Han ger tre skäl till detta, i första hand utifrån den relativa värdeformens perspektiv:

1. Serien ekvationer som framställer värdets relativa karaktär är oavslutad eller ändlös.

2. Serien utgör en hoplappad mosaik av oberoende värdeuttryck som faller samman i och med att det saknas länkar mellan dem.

3. Varje varas relativa värdeform är annorlunda än varje annan varas eftersom serierna är olika. Det finns alltså inget gemensamt uttryck för värde som skulle göra universaliteten uppenbar.

Och fortsätter utifrån ekvivalentformens perspektiv:

1. Eftersom vi har partikulära ekvivalenter får vi serier av sinsemellan orelaterade fragmentariska ekvivalentformer.

2. Det nedlagda arbetet i varje vara uppenbarar sig därför som partikulärt, istället för som allmänt, abstrakt arbete.

3. Abstrakt arbete manifesteras alltså enbart i totaliteten av dessa partikulära former, men denna totalitet är en ofullständig serie som saknar inre enhet.

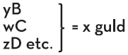
Sammanfattningsvis säger Marx att ett adekvat värdeuttryck inte bara måste representera samspelet mellan kapitalismens (oändliga antal) varor utan också göra det på så sätt att det teoretiska samspelet blir explicit. De enkla serier av ekvationer vi får i den utvecklade värderelationen gör inte detta. Sett från ekvationens båda perspektiv, får vi ofullbordade, fragmenterade och fristående serier. Detta gör att det universella samspel som ger upphov till abstrakt arbete inte framträder. I fråga om fragmenteringen ligger problemet i att i fallet xA = yB, xA = wC etc. har B och C ingen relation, och vi har inget unikt eller gemensamt uttryck för A. När det gäller värdets ofullbordade karaktär ligger problemet i att varje tillägg av nya varor förändrar dess uttryck. Eftersom det alltid kommer att uppstå nya varor (så länge kapitalismen expanderar) kommer serien alltid att vara ofullbordad, och ett enda uttryck för abstrakt arbete blir därmed omöjligt. Marx kritik av den utvecklade formen påminner om Hegels kritik av dålig oändlighet - en icke sammanlänkad, ändlös serie.

Hur löser man denna svårighet? Svaret finns i formen. Om A byts mot B, C, D etc., och den senare varan uttrycker den förras värde, är det också sant att B, C, D etc. byts mot A. A uttrycker, i egenskap av ekvivalent, värdet hos B, C, D etc. Vi behöver med andra ord bara byta perspektiv och se formeln från motsatt håll för att lösa problemet. Vi har redan utfört en sådan operation med den enkla värdeformen, xA = yB. Då såg vi att de enskilda ekvationerna var irreversibla, det vill säga att betydelsen förändrades i det att man kastade om ordningen. När det står xA = yB innebär det att A:s relativa värde uttrycks genom den materiella formen B. För att uttrycka B:s värde måste vi byta perspektiv och skriva yB = xA. Det rör sig fortfarande om samma utbyte, A mot B och omvänt. Fastän själva rörelsen är densamma, får det förändrade perspektivet nu större effekt än i den enkla värdeformen. I fallet med den enkla värdeformen fick vi en ny enkel värdeform efter bytet. I den utvecklade formen går vi däremot från

till

Detta får så mycket större effekt eftersom vi nu har uppnått det vi behöver: ett gemensamt uttryck för alla varor, nämligen xA. Vi har fortfarande en oändlig serie, men den är inte längre fragmentarisk eftersom alla varor hänger samman genom att gemensamt uttrycka sitt värde i A.

Sammanfattningsvis kan vi, efter att ha analyserat de två första formerna, beskriva värdeformen (och därmed kapitalet) i termer av följande karaktärsdrag: motstridig - den rymmer både motsatsen mellan och enheten av två poler; reflexiv - genom sitt samspel avslöjar polerna den särskilda essens som förenar dem; totaliserande - denna essens är beroende av alla element och måste uttryckas av alla; oändlig - kapitalets varuvärld expanderar kontinuerligt. I Marx diskussion om den allmänna värdeformen kommer vi att finna en mer ingående analys av dessa egenskaper.

 

Den allmänna värdeformen

Vi har nu sett hur den allmänna värdeformen uppstår. Den utvecklade värdeformen visade sig utgöra en naturlig förlängning av den enkla formen, eftersom ekvivalenten i fråga är godtycklig, och den allmänna värdeformen uppstod i sin tur efter att vi bytt perspektiv på den utvecklade formen. Vi har gått från ett enkelt, tillfälligt uttryck för olika varors relativa värde till ett uttryck för värdet hos varje enskild vara. Uttrycket för varje varas värde uppenbarar sig i en enkel form (det vill säga yB = xA) men eftersom ekvivalenten är densamma för alla varor är den nya värdeformen allmän och enhetlig.

Värde har nu fått en singulär och enhetlig representation. Detta innebär inte bara att värdet hos en vara skiljs från sitt materiella bruksvärde, utan också att värdet uttrycker det som är gemensamt för alla varor, i och med att alla har en och samma representant.

Den här formen är allmän, eller universell, i alla sina moment. Den relativa formen hos vilken vara som helst är universell, eftersom "varuvärlden [skapar] en enhetlig, allmän, relativ värdeform åt sig."[14] Det innebär att det relativa värdet hos alla varor uttrycks på samma sätt, med hjälp av samma ekvivalent. Ekvivalentformen är allmän, eftersom ekvivalenten har kommit att utgöra den unika form där alla andra varors värde uppenbarar sig. På grund av detta blir det arbete som producerat den också den universella formen för förverkligande av mänskligt arbete, det vill säga som universellt, eller abstrakt, arbete. Den allmänna ekvivalenten blir därför en symbol, eller representant, för precis den samhälleliga situation vi tidigare beskrev som upphovet till det abstrakta arbetet och varusamhället: kapitalet och dess klasstruktur. Även om den kallas allmän värdeform, och även om vi talar om en universell ekvivalent och en universell relativ värdeform, innebär detta på intet sätt att de interna motsättningar som karakteriserade de tidigare värdeformerna försvunnit i någon form av universell harmoni (vare sig i själva formen eller i varusamhället). De har tvärtom bevarats i nya former. Den enkla värdeformens irreversibla och motstridiga polaritet och reflexivitet finns kvar, precis som den utvecklade formens totaliserande och oändliga aspekter. Men nu har det alltså dessutom tillkommit en ny aspekt. Just eftersom den allmänna ekvivalenten blivit direkt utbytbar mot alla andra varor, medför detta att alla andra varor förlorat den egenskapen. De kan inte längre bytas direkt mot varandra utan måste först bytas mot den allmänna ekvivalenten.

Denna observation tydliggör en grundläggande egenskap hos den allmänna värdeformen - nämligen att på samma gång som ekvivalenten blir det universella uttrycket för alla andra varors värde, blir den också till den universella förmedlaren mellan dem alla. Tidigare såg vi hur enskilda varor relaterades till sitt eget värde genom en ekvivalents förmedling (alltså genom reflexion). Nu ser vi hur detta, som ett kännetecken för den allmänna formen, utgör en del av en annan relation, nämligen den typ av förmedling som beror av den allmänna ekvivalenten. Genom att spegla sig i en och samma vara som värdekvantiteter, speglar alla varor ömsesidigt varandra i egenskap av värdekvantiteter. Denna ömsesidighet mellan vilka två varor som helst, denna reflexion genom vilken de förhåller sig till varandra som värden, påminner om den interaktion mellan enskilda varuägare som karakteriserar varusamhället. Men här rör det sig om en ömsesidig relation som förmedlas genom den allmänna ekvivalenten.[15] Den allmänna ekvivalenten fungerar som en förmedlare på två olika sätt, dels genom att uttrycka värdet hos varje enskild vara, och dels genom relationen mellan varje varas värde och varje annan varas. Den andra formen av förmedling påminner om vad som kallas syllogistisk förmedling. I en syllogism förenas två ytterligheter genom ett förmedlande mellanled. I vårt fall förmedlar den allmänna ekvivalenten mellan vilka två varor som helst. För att illustrera denna poäng, lägg märke till hur relationen mellan yB och wC förmedlas genom deras ömsesidiga relation till xA:

eller

Den allmänna förmedlaren lyfter fram den särskilda värdeegenskapen hos varje vara såsom det universella element som förenar dem. Därmed införlivar den allmänna ekvivalenten alla enskilda varor i en allmän värderelation. Återigen ser vi hur den allmänna formen förenar seriens disparata element och skapar en totalitet som inte längre är fragmenterad.

Serien av möjliga varuekvationer är fortfarande växande och potentiellt oändlig, men denna oändlighet består inte längre av ett tröttsamt adderande av separata element. Det kapitalistiska varusamhället har nu uttryckts i termer av en integrerad och enhetlig oändlighet, där en ny vara inte längre innebär att en ny ändlighet uppstår, utan istället fortsättandet av en oändlig process som måste förstås utifrån sin egen verksamhet.

Denna process är kapitalet. Dess expansion är inte slumpmässig, inte heller kommer den "utifrån". Nej, kapitalet byggs inte på utifrån, utan genererar självt sin egen expansion, i vilken varusamhällets utbredning utgör ett viktigt moment. Det är oändligt som ett expanderande universum, och inte likt en varukorg där vi lägger vara efter vara. Oavsett om vi talar om expansionen på internationell nivå, där olika delar av världen förs in i den sfär där kapitalet påför social kontroll genom arbete, om expansionen inom varje sektor av produktionen, eller om expansionen inom alla aspekter av reproduktionen av arbetskraften (strävan efter 24 timmars arbetsdag), innebär varje nytt område som kontrolleras betydligt mer än bara ett "tillägg". Kontrollen är ett resultat av tidigare kamp och fungerar som en del i en övergripande organisering. Kolonialismen förde råvaror till engelska fabriker, kontroll över textiltillverkningen kompletterade kontrollen över klädesmanufakturen, kontroll över sovrummet säkrar tillgången på arbetskraft; exemplen kan mångfaldigas.

Den nya form av förmedling som uppstår genom den allmänna formen, en förmedling som säkerställer kopplingen mellan de enskilda elementen i varornas (och kapitalets) värld, är avgörande för det sätt på vilket kapitalet organiserar sin kontroll. Den allmänna ekvivalentens förmedling mellan alla varor uttrycker kapitalets tendens att förmedla alla relationer i den sociala fabriken. Kapitalet ingriper överallt, mellan olika varuproducenter genom pengar V–P–V, mellan chefer och arbetare genom löner och lagar, mellan föräldrar och barn genom skolan, mellan kvinnor och män genom äktenskap och preventivmedel, mellan sig själv och vita genom svarta, och så vidare.

Men vad innebär det egentligen att kapitalet överallt ingriper som en förmedlande kraft? I de nyss nämnda exemplen ser vi att den förmedlare jag kallar kapitalet kan vara allt från pengar till staten till en viss grupp av arbetare. Detta väcker frågan som togs upp i inledningen, och som här måste understrykas för att tanken ska te sig meningsfull. Saken är att dessa enskilda förmedlare utgör olika moment av kapitalet. Att betrakta pengar som kapitalet är kanske inte så svårt (vi kommer att behandla den frågan i nästa sektion), men att se staten och delar av arbetarklassen som kapitalet är mer problematiskt. Tidigare poängterade jag att arbetarklassen är en del av kapitalet, är kapitalet, samtidigt som kapitalet inte bara är den andra polen utan inkluderar, är, arbetarklassen - i den mån arbetarklassen fungerar som arbetskraft, det vill säga arbetar. Därför kan en del av arbetarklassen fungera som förmedlare åt kapitalet, eftersom den i denna roll själv är kapitalet. Män kan till exempel förmedla relationen mellan kapitalet (industrin eller staten som betalar lönen) och kvinnor i rollen som hemmafruar. Kapitalet (K) - avlönade män (M) - oavlönade kvinnor (Q); alla tre är delar av kapitalet, men de spelar olika roller. Kapitalet påför arbete (i utbyte mot inkomst), män är avlönade arbetare på en fabrik eller ett kontor, medan kvinnor är oavlönade arbetare i hemmet. Varje del förmedlar de två andra på olika sätt. Vi kan tänka oss K–M–Q, men också K–Q–M och M–Q–K. De tre delarna bildar en totalitet, visserligen bara en subtotalitet av det kapitalistiska samhället, men likväl en totalitet. I det första fallet, K–M–Q, förmedlar män relationen mellan kapitalet och sina hemmafruar genom att få dem att arbeta för att reproducera männens arbetskraft (matlagning, tvätt, sexualliv etc.) och genom att neutralisera den största delen av kvinnornas revolt mot sina förhållanden. I det andra fallet, K–Q–M, förmedlar kvinnorna kapitalets relation till männen. Ett exempel är shopping, då det verkligen visar sig om det går att leva på lönen; kvinnorna tvingas vända på slantarna, och om de misslyckas får de skulden istället för kapitalet. I det tredje fallet, M–K–Q, förmedlar kapitalet relationen mellan män och kvinnor genom äktenskapslagar, preventivmedel och så vidare. Här uppenbarar sig kapitalet som staten, med därtill hörande lagar och polismakt.

Samma typ av förmedling används flitigt av kapitalet vid splittrandet av olika segment av arbetarklassen. Låt oss kort studera två välkända exempel: skolan och bruket av invandrad arbetskraft. I skolans fall kan kapitalet representeras av administrationen (A), vars roll ligger i att organisera relationen mellan två grupper av arbetare: lärare (L) och studenter (S). Skolans vanliga hierarkiska organisationsform placerar lärarna i mitten, som förmedlare av relationen mellan administrationen och studenterna, A–L–S. Denna relation är åtminstone dubbel. Lärarna måste följa administrationens riktlinjer, regler, betygssystem med mera och påtvinga dem på studenterna. Å andra sidan måste lärarna ta till sig studenternas eventuella missnöje med sin "utbildning". Ibland, till exempel vid lärarstrejker eller lärarbrist, används studenterna för att disciplinera lärarna, A–S–L. Detta kan också ske om studenterna försöker hindra att en populär lärare avskedas. I allmänhet fungerar administrationen som en förmedlare mellan lärare och studenter, L–A–S, genom olika institutionella strukturer som spänner från klasstrukturen till inkallandet av polis.

När det gäller invandrad arbetskraft är det ett känt fenomen att kapitalet försöker ställa invandrade arbetare (I) mot lokala arbetare (L). Arbetsgivarna (A) använder de invandrade arbetarnas behov av arbete och inkomst för att försvaga fackföreningarna, som domineras av lokala arbetare, A–I–L. På samma gång ställs lokala arbetare mellan de invandrade arbetarnas lönekrav och kapitalet, A–L–I. Vid samtliga exempel spelar kapitalet sin egen roll, till exempel genom att strukturera relationerna mellan invandrade arbetare och lokala arbetare, både på fabriken och i samhället, L–A–I.

Det är viktigt att förstå den här typen av förmedling i klasskampen, inte bara för att vinna en bättre förståelse av komplexa förhållanden, utan främst för att se på vilka sätt arbetarklassens initiativ och kraft kan förstöra den här typen av bestämningar och tvinga fram en nysammansättning av klassrelationerna. Ett exempel på detta är när arbetarklassen vägrar förmedling och istället kringgår den: när hemmafruar kräver lön direkt från kapitalet, kringgår de männens förmedling och försöker etablera relationen K–Q. Och när studenter ockuperar administrationsbyggnader för att kräva ett slut på kriget eller stopp för budgetnedskärningar, kringgår de på samma sätt lärarnas förmedling och etablerar S–A, en direkt konfrontation med kapitalet. Ett annat sätt på vilket sådana situationer kan uppstå, är när kapitalets förmedling skapar så häftiga konflikter att delar av samhället bryter samman eller tvingas in i nya former. Vi kan åter ta skolan som exempel. Under sextiotalet förde studenterna på universiteten sin kamp direkt mot, eller till och med utöver, administrationen. På high schools var det däremot ovanligt att man bekämpade administrationen. Istället riktade man sig mot andra studenter eller lärare. Lärarna fungerade som förmedlare och trycket från studenterna - deras passiva motstånd, deras vägran att låta sig disciplineras, deras våld - gjorde lärarnas arbete så svårt att det tvingade fram en förändring i deras relation till kapitalet. Studenternas vägran att sitta tysta och arbeta var en bidragande faktor (tillsammans med bland annat inflation) till lärarnas krav på högre lön och mindre arbete. Kravet på ökad disciplin i klassrummet är motsvarigheten till ökad fart vid ett löpande band. Det höjer arbetsdagens intensitet och ökar värdet på arbetskraften. Dessa omständigheter har bidragit till att lärarna bildat nya fackföreningar av mer militant slag, vilka ändrat hela organiseringen av maktförhållanden inom utbildningssektorn. Ställda inför lärarnas vägran att påföra disciplin i farliga situationer, med andra ord deras vägran att arbeta, har skolledningen och kommunstyret tvingats betala högre lön, ta in polis och väktare och så vidare. Utvecklingen innebär ett viktigt nederlag för kapitalets kontroll över skapandet av ny arbetskraft. På samma gång skapar den allvarliga problem för arbetarklassens strategi. Hur kan studenternas och lärarnas ökade makt riktas mot kapitalet istället för mot varandra? Studenternas autonoma makt tvingade fram en ny nivå av autonom organisering och makt bland lärarna - det vill säga en nysammansättning av klasstrukturerna. Men så länge man inte förstår denna utvecklings riktning och dynamik är risken för nederlag överhängande. På universiteten såg vi en liknande, men mindre dramatisk, utveckling under sextiotalet. Studenternas motstånd mot kriget tvingade lärarna till en nysammansättning av lärarkåren, vilket inbegrep en ny generation av radikala lärare - något som bidragit till en ökad organisering bland universitetslärare. Detta har motverkat den högre utbildningens möjligheter att disciplinera, planera och organisera tillgången på arbetskraft. Jakten på examina har skapat en inflation som innebär att en doktorsgrad inte längre är en garant för anställning. Utvecklingen har inneburit att kapitalet försöker återinföra disciplinen i skolorna och omorganisera utbildningen på ett nationellt plan. En sådan omorganisering innebär att kapitalet försöker hitta nya former av förmedling för att ersätta dem som arbetarklassens kamp fått att rämna.

I sista hand ligger klasskampens mål i att förstöra den uppdelning kapitalet försöker påföra arbetarklassen. Men även om arbetare försöker förena studenter och lärare mot administrationen, män och kvinnor mot kapitalet, svarta och vita etc., är arbetet med att förstöra den förmedlande strukturen inte så enkel som "unite and fight". I kapitlet om abstrakt arbete hävdade jag att uppdelningen är verklig och hierarkisk: det är fråga om en maktdelning, och man uppnår inte enhet bara genom att förena olika segment inom arbetarklassen mot kapitalet. Ibland krävs också en kamp om makten mellan de olika segmenten. Den politiska organiseringens problem är att vi måste få kampen inom klassen att stärka klassen som helhet, inte att försvaga den. Analysen av den allmänna värdeformens förmedlande funktion har gett oss ledtrådar till hur en sådan kamp kan se ut. Det är åtminstone ett steg på vägen till problemets lösning.

 

Penningformen

Övergången från den allmänna formen till penningformen är betydligt enklare än tidigare övergångar. Den enda skillnaden mellan de två är att i penningformen har den allmänna ekvivalenten fixerats i en enda vara i kraft av samhälleligt bruk. När detta sker börjar den allmänna ekvivalenten att fungera som pengar, vilket resulterar i penningformen.

Eftersom det är mot denna punkt analysen hela tiden har strävat, kan det vara nyttigt att formulera relationen i omvänd följdordning. Pengar definieras delvis som en allmän ekvivalent (fler egenskaper tillkommer i senare kapitel av Kapitalet). Penningformen är hela relationen

och måste skiljas åt från pengar, vilka i det här fallet representeras av guld. Penningformen innehåller alla tidigare formers egenskaper. Den har den motstridiga enheten och reflexiva relationen mellan relativ form och ekvivalentform som uppstod ur den enkla värdeformen; den har totaliteten och ändlösheten som uppstod ur den utvecklade värdeformen och sammanfogades i den allmänna värdeformen; den har också den förmedlande karaktär vi uppmärksammade hos den allmänna värdeformen. Precis som kapitalet är alltså penningformen motstridig, reflexiv, totaliserande, oändlig och förmedlad.

Pengar uppenbarar sig inte bara som en del av denna totalitet, utan tvärtom som dess uttryck i egenskap av allmän ekvivalent. Vid denna punkt är pengar en vara bland många andra och samtidigt det unika uttrycket för varornas samspel inom kapitalet, det vill säga som värde. Genom att uttrycka alla varor som värden, uttrycker pengar därmed kapitalets domän - de samhälleliga relationer som gör alla bruksvärden till varor. Som ett moment i penningformen utgör pengar en del av kapitalet, och är således också kapitalet. Om kapitalet i dess mest basala form utgörs av varuformens samhälleliga relationer (där varuvärlden är ett moment) så innebär detta att pengar är värdeformens kärna. I ett kapitalistiskt samhälle innebär en slant i handen att man håller en gyllene droppe av själva samhället. Om du så tittar djupt in i droppen, som i en kristallkula, och ser bortom dess gyllene glans som fångat så många blickar, kommer du att se klasskampens blod och svett.

När vi ser tillbaka på de roller ekvivalentformen spelat tidigare i de olika relationerna, står det nu klart för oss att det i själva verket är pengarnas roll vi beaktat. Till exempel: pengar fungerar som ekvivalent i en motstridig enhet med arbetskraften. Samma sak gäller för dess relation till alla andra varor, varvid dessa (genom reflexion) visas upp i sin funktion som värden och del av kapitalet. Kapitalets tendens till oändlig expansion är också en tendens att förvandla alla samhälleliga relationer till pengarelationer, det vill säga att förvandla alla bruksvärden till värde genom att likställa dem med pengar. Pengar är en trollstav som förvandlar världens tillblivelse till kapital.

Att likställa ett objekt med pengar innebär att förse objektet med ett pris. Prisformen är därför en delform till penningformen, där:

Men prisformen förekommer aldrig ensam. Den är en del av penningformen. Varan som jämställs med en viss kvantitet pengar - det vill säga ges ett pris - infogas samtidigt i kapitalets värld.[16] Hur? Genom att erhålla ett pris bekräftas att bruksvärdet, som har producerats av någon form av nyttigt arbete, utgör en produkt av kapitalets universella medel för kontroll: arbete. Att likställa ett objekt med pengar innebär att det likställs med alla andra varor, och att det arbete som producerat objektet likställs med allt annat arbete. På så sätt bekräftas dess abstraktion (vi struntar, precis som Marx, i objekt som ges ett pris trots att de inte är produkter av arbete). Det spelar ingen roll om kvantiteten arbete som nedlagts är samhälleligt nödvändigt eller inte. Som vi sett tidigare är så ofta inte fallet. Arbetets kvalitativa likvärdighet har fastslagits och kvantiteten bestämts på samhällelig basis. Pengar visar varan att den är en produkt av abstrakt arbete och därmed ett värde.

Pengar likställer inte enbart alla varor som produkter av arbete utan fungerar dessutom som allmän förmedlare mellan kapitalets olika delar. När arbetskraften likställs med pengar förmedlar pengarna arbetskraftens relation till kapitalet. Penninglönen (P) är ett sätt för kapitalet (K) att förmedla sin relation till arbetarklassen (AK) genom (K–P–AK). Som vi såg tidigare finns det många andra sätt, men lönen är det mest grundläggande. Detta faktum ger oss också en bild av vilken viktig roll den oavlönade arbetskraften spelar gentemot kapitalet. Som vi sett tidigare kan oavlönade relationer förmedlas på en mängd olika sätt. Män förmedlar till exempel relationen mellan sina oavlönade fruar och kapitalet. Arbetare byter sitt arbete mot uppehälle, men inte alltid direkt i form av en lön. Barn arbetar för kapitalet såtillvida de producerar sig själva som arbetskraft genom att förbereda sig för sina roller som arbetare (avlönade eller oavlönade), utan att få någon lön. Precis som hemmafruar lever de på de resurser (lönen) som deras avlönade mamma eller pappa erhåller. Relationen mellan kapitalet och pappan förmedlas direkt genom lönen, men barnets och hemmafruns relation förmedlas dessutom av pappan/maken. Under dessa omständigheter döljs det faktum att barn och hemmafruar arbetar åt kapitalet eftersom de är oavlönade. De förefaller stå i privat relation till den avlönade mannen, och inte till kapitalet.

Detta för oss till en viktig aspekt av pengar, som man ofta bortser ifrån. Om pengar ska kunna spela en roll som förmedlare eller allmän ekvivalent, måste det finnas många relationer de inte förmedlar direkt. Den plats i Kapitalet där Marx är tydligast på denna punkt är i diskussionen om avlönade och oavlönade. För att kapitalet ska lyckas använda lönen för att förmedla sin relation till arbetarklassen som lönearbetare, måste den upprätthålla sig själv. Men påpekandet att det under kapitalet alltid måste finnas oavlönade, är ett märkligt sätt att säga att pengar är den allmänna förmedlaren. I slutändan måste alla erhålla varor för att överleva, men det sker inte nödvändigtvis via en lön. Pengar förblir likväl den allmänna förmedlaren, eftersom de verkar bestämmande även i sin frånvaro. Gentemot de avlönade definieras de oavlönade som en grupp som saknar kontroll över pengar. Barn får inga pengar, men de får saker som kan köpas för pengar. Vad de saknar är kontroll, men pengarna som föder dem cirkulerar icke desto mindre. Det är exakt därför de oavlönades kamp är en kamp för löner: inte för att de vill öka kapitalets dominans - de lider redan tillräckligt av den - utan för att kunna ta kontroll och på så vis förstöra dominansen.

Det finns många områden där upprätthållandet av icke-monetära, eller oavlönade, relationer är viktiga för kapitalet. Bilden av ringlande massor utanför fabriksgrindarna är en klassisk men begränsad bild. Vi har talat mycket om oavlönade studenter, hemmafruar och människor som lever i ghetton i industriländerna. Men som vi såg i diskussionen om den privata ackumulationen är utvecklingen i tredje världen än mer dramatisk. Kapitalet upprättade och upprätthöll omfattande, delvis självförsörjande, reserver av oavlönad arbetskraft. Detta var ett av de primära målen med kolonialismen: att skapa en global reservarmé. Fattigdom fortsätter att vara det verktyg med vars hjälp miljontals människor hålls levande men samtidigt (hoppas man) enkelt tillgängliga när det passar kapitalets syften. Dessa reserver används sedan antingen inom områden där deras billiga arbetskraft kan användas för att hålla nere lönekraven från mer kraftfulla arbetare (mexikanska och karibiska arbetare i USA eller arbetare från Medelhavsområdet i norra Europa), eller i sina egna länder som anställda av ditflyttade företag som letar efter billig arbetskraft. Självklart händer det att den här strategien till och från inte fungerar, då de oavlönades kamp emellanåt har gjort dem olämpliga för kapitalets fabriker.

Vi kan alltså se att uppdelningen i avlönade/oavlönade arbetare utgör en viktig aspekt av penningformen. Det är en underuppdelning mellan vissa varor (vissa personers arbetskraft) och pengar. Den tydliggör uppdelningen mellan penningformens direkta närvaro och dess indirekta närvaro, eller den nödvändiga samexistensen mellan monetära och icke-monetära relationer inom kapitalet.

Det faktum att pengar är en förmedlare - placerad mellan kapitalet och arbetarklassen - innebär två saker. För det första: ur arbetarklassens perspektiv måste attacken mot kapitalet både använda sig av och förkasta denna förmedling, precis som kvinnor och studenter både har använt sig av och tagit sig förbi män respektive professorer. Strejker är ett gammalt exempel där arbetare förkastar löneförmedlingen och attackerar kapitalet direkt genom arbetsvägran, sabotage, fabriksockupationer och så vidare. Ett annat sätt för klasskampen att förkasta pengarnas förmedling är genom att vägra acceptera priser. Detta utgör själva kvintessensen av direkt tillägnelse och inbegriper inte bara priset på arbetskraft utan även priset på andra varor. Några exempel på detta är egenhändig sänkning av allmänna tjänster eller hyror, att byta prislappar i affärer, använda för låga valörer i myntautomater, eller total prisvägran genom snatterier, stöld på jobbet eller "svart julafton" där varor plundras. Denna prisvägran är en vägran att spela efter kapitalets spelregler. Att vägra acceptera pengarnas roll är att vägra allt det vi sett ingår i pengarnas värld - hela uppsättningen av värderelationer. Detta är ett hämndlystet arbetarklassperspektiv.

För det andra har vi kapitalets perspektiv. Eftersom pengar är den allmänna förmedlaren är de, i de fall de är placerade mellan arbetarklassen och kapitalet, lämpliga att manipulera. När kampen för högre löner i USA och Europa under trettiotalet satte stopp för kapitalets traditionella metoder för manipulering med löner, tedde det sig naturligt att kapitalet - med hjälp av Keynes och andra - sökte nya vägar att använda pengar i klasskampen. Keynes idéer handlade huvudsakligen om att kontrollera arbetarklassen med hjälp av statlig reglering av mängden och riktningen på flödet av pengar genom finansiell och monetär manipulation. Som ideologi presenterades keynesianismen självklart i annorlunda termer. Monetära och finansiella strategier framställdes som verktyg för att garantera tillväxt och full sysselsättning. Men "tillväxt" betydde egentligen kapitalackumulation, och "full sysselsättning" innebar påförandet av arbete under bibehållande av en minimal reservarmé genom finslipning av ekonomin. Keynesiansk strategi innebar att använda pengar för att på ett rationellt sätt stimulera eller kyla ner ekonomin. Detta betyder att arbetarklassens krav hanteras med hjälp av konjunkturnedgångar och inflation. Vi är tillbaka vid det exempel jag beskrev i början av kapitlet: användandet av inflation för att bekämpa arbetarklassens kamp för högre löner och för att föra över värde till kapitalet. Nu när vi är på det klara med pengars karaktär, och har sett att pengar är formen för värdets substans och mått - dess förmedlare, med andra ord - blir detta begripligt. Inflation innebär att höja priser, inte på grund av införandet av mer arbete, utan på grund av monetär deflation. Priser är penningekvivalenter för varors värde, vilket uttrycks i prisformen. Att höja priset innebär att öka mängden pengar (guld eller papper) som byts mot varor. Om den mängd pengar arbetarklassen får är konstant minskar alltså köpkraften. På det sättet minskar värdet på det arbetarklassen får för sin arbetskraft, medan kapitalets mervärde ökar.

Det enda man kan fråga sig är om det spelar någon roll att dagens arbetarklass inte erhåller guld, utan papperspengar. I det tredje kapitlet svarar Marx nej på denna fråga. När pengar fungerar som cirkulationsmedel (som allmän förmedlare), behöver de inte finnas i materiell form överhuvudtaget - vare sig som guld eller som papper. Trots allt är de pengar arbetarklassen får som regel inte ens papper utan ett saldo på ett konto, som sedan skickas tillbaka till kapitalet bit för bit i utbyte mot varor. Pengar är i detta fall ett saldo på ett konto som "håller räkning" på flödet av värde (i form av arbete och varor), och som inte alls behöver existera. Dessutom är det, i de fall de verkligen existerar, enkelt att manipulera pengar i form av papper. När xB = y guld innebär en prishöjning antingen att höja värdet på arbetet i B eller att sänka värdet på arbetet i guldproduktionen. När det gäller papper är produktionskostnaden för alla praktiska system obetydlig, och pappret representerar enbart en viss mängd värde. Under sådana omständigheter är det lätt att höja priser enbart genom att cirkulera mer papper, så att en given kvantitet varor som representeras av en ökad mängd papper får ett högre pris (förutsatt att cirkulationshastigheten är oförändrad). Denna idé hade också Keynes, och därefter Lewis och andra. Staten kan trycka mer pengar eller öka mängden genom kreditsystemet, och på så sätt höja priserna. Detta minskar värdet på varje enhet pengar, vilket i sin tur minskar värdet på arbetarklassens löner. Detta kan göras oavsett om lönenivån är konstant eller stigande. I det senare fallet är det naturligt att kapitalisterna höjer priserna för att täcka de ökade kostnaderna, vilket dock måste ackompanjeras med en ökning av penningmängden - något som staten står till tjänst med.

Under den nuvarande inflationen har denna typ av manipulation fått sällskap av en annan - de administrerade prisökningarna på olja och mat, som uppnåtts genom att strypa tillgången på dessa basvaror för att i fallet med olja täcka prisökningen och i fallet med mat för att skapa den. Detta har inte bara skett i enskilda länder genom statens agerande, utan i global skala genom ett samarbete mellan multinationella företag och ett flertal stater. I fallet med olja har vi OPEC, "de sju systrarna", och både väst- och östmakter. I fallet med mat har vi spannmålsproducenter, spannmålsgrossister och USA och Sovjet. De resulterande prisökningarna (den mängd pengar som krävs för att byta till sig en given mängd av en viss vara) har inneburit en underminering av arbetarklassens löner. Detta ingår i en global motoffensiv av kapitalet i syfte att stoppa löneoffensiven. Kapitalet har lämnat över kontrollen av de kapitalflöden som skapats av inflationen till sina internationella institutioner som till exempel Världsbanken och IMF.[17]

Hur än manipulationen med pengar går till, det må ske med hjälp av företag, nationella regeringar eller internationella avtal, borde det nu vara tydligt att målet med manipulationen står att finna i värderelationen mellan arbetarklassen och kapitalet. Vi har sett det komplexa sätt på vilket pengar uttrycker klassrelationen och den komplexa roll de spelar i själva hjärtat av denna relation. Pengar har många egenskaper och funktioner som inte behandlas i Kapitalets första kapitel, men analysen av den allmänna ekvivalenten hos penningformen och prisformen har gett oss en grundläggande förståelse för pengarnas roll som medium för cirkulationen och som förmedlare mellan klasserna. Den tillåter oss att se, om inte i detalj så åtminstone de huvudsakliga dragen i penningkontrollen och inflationen under klasskampens nuvarande period.

Precis som i fallet med de andra kategorierna i det här kapitlet har vi lyckats tränga igenom "fetischismen" till de underliggande klassrelationerna och upptäckt åtminstone några av de politiska roller pengar har kommit att spela. Pengar fungerar som en förmedlare åt kapitalet, som döljer sin kontroll över arbetet - det oavlönade arbetet i och utanför fabriken. De är ett verktyg för att kontrollera den mängd värde eller välstånd som arbetarklassen erhåller. När arbetarklassens makt blir så omfattande att den kan stoppa kapitalets direkta manipulation av lönen (förhindra lönesänkningar) försöker kapitalet använda pengar indirekt genom att förändra värderelationer med hjälp av inflation, vilket också drabbar arbetarklassen. De här frågorna blir allt angelägnare i klasskampen, i synnerhet som de oavlönades kamp för lön fört fram de oavlönades arbete bakom löneridån. På liknade sätt har kapitalet tvingats prova nya typer av manipulation av pengar för att motverka arbetarnas kamp för högre lön och mindre arbete, som ett försök att jämna ut skillnaden mellan det producerade värdet och det erhållna värdet. Under sextiotalet bröt arbetarklassen ner kapitalets värde-, penning- och prisrelationer och förändrade dem efter sina egna intressen. Detta ifrågasatte själva grunden för kapitalet - det vill säga dess kontroll över arbete - och var orsaken till kapitalets nuvarande kriser. Med tanke på de svårigheter kapitalet genomgår i kampen för att upprätta nya relationer, består dagens uppgift i att göra våra kamper mer effektiva inom den kontinuerliga krisens nya områden.

 

Index | Kapitel 6: Slutsatser

 


Noter:

[1] W. A. Lewis, "Economic develoment with unlimited supplies of labour", Manchester School, (maj 1954), 139-191.

[2] Om den föränderliga relationen mellan organisering och klassammansättning se Sergio Bologna, "Class composition and the theory of the party", 14-21.

[3] Paul Sweezy, Teorin för den kapitalistiska utvecklingen.

[4] Ronald Meek, Studies in the labour theory of value, (Lawrence & Wishart, 1973), 173-174. A. Leontiev ägnar ungefär fyra sidor åt värdeformen i sin Political economy, (Proletarian Publishers, 1974), 64-67, och I.I. Rubin gör endast något bättre ifrån sig i sin Essays on Marx's theory of value, (Black & Red, 1973), 115-123.

[5] Marx till Engels (22:a juni 1867), i Karl Marx & Friedrich Engels: Brev i urval, 70.

[6] För en detaljerad analys av denna sorts relation, se diskussionen om den andre i Jean-Paul Sartre, Varat och intet, (Korpen, 1992).

[7] Karl Marx, Kapitalet, band 1, 51.

[8] [Harry Cleaver syftar på fotnot nr 21 på sida 50 i Kapitalet, band 1, (A-Z förlag, 1997). I denna svenska utgåva finns dock ingen explicit referens till Hegel. Det finns inte heller en sådan referens i de tyska så kallade MEW- och MEGA-utgåvorna av Kapitalet. Det tycks med andra ord som om Cleaver refererar till vad som är en - möjligen rimlig - kommentar av Ben Fowkes, översättaren av den engelska Penguin-utgåvan av Kapitalet. Ö.a.]. Marx analys påminner här om Hegels analys av reflexion i Logiken, och Marx var otvivelaktigen influerad av den senare. Denna diskussion av Hegel är den man finner i sektionen om essens, vilken är uppdelad i tre delar: essens, framträdande och aktualitet. För Hegel är essens "vara som förmedlar sig självt genom sin egen negativitet" (A som relaterar till sitt eget värde genom B). Metaforen med en spegel, som Marx använder i sin diskussion om hur essensen uppenbarar sig genom reflexion, används också av Hegel: "Ordet reflexion används först och främst om när en ljusstråle, i en rak linje, träffar en spegels yta och kastas tillbaka från den." Eller, "reflexion eller ljus som lyser in i sig själv, utgör distinktionen mellan vad som är essentiellt och vad som är omedelbart vara och utgör ett säreget karaktärsdrag för essensen" (paragraf 112). Sedan upptäcker vi att framträdandet, för Hegel, är det sätt på vilket essensen "skiner fram" eller uttrycker sig självt. Vidare är detta framträdande någonting reellt som verkligen existerar, det vill säga: är aktuellt. "Essens är följaktligen inte någonting bortom eller bakom framträdandet, utan - just för att den är en existerande essens - dess existens är framträdande (framskinande)." Denna existens måste dock grundas "inte i sig själv, utan i någonting annat" (paragraf 131), inte i vara A utan B. Marx diskussion befinner sig därmed ganska nära Hegels och den senares lära kan alltså komma att belysa analysen av den förra. Den faktum att Hegel ägnar sig åt en övning i filosofi medan Marx analyserar klasskampens värdeform borde inte få skymma detta förhållande. Det borde endast förmå oss att hålla ett öga inte bara på likheter utan även skillnader mellan de två. Se G.W.F. Hegel, Hegels Logic (Clarendon Press, 1975), [vår översättning ovan].

[9] Karl Marx, Kapitalet, Första boken: Supplement, (A-Z förlag, 1985), 55. [Observera att denna första version av Kapitalets första kapitel på svenska alltså är utgiven i en separat bok. Ö.a.]

[10] Ibid., 95.

[11] Karl Marx, Kapitalet, band 1, 49-50.

[12] Karl Marx, Kapitalet, Första boken: Supplement, 94-95.

[13] Karl Marx, Grunddragen i kritiken av den politiska ekonomin, 121-124.

[14] Karl Marx, Kapitalet, Första boken: Supplement, 103.

[15] Denna ömsesidighet mellan vilka två varor som helst påminner om Hegels civila samhälle. Men förmedlingen av ömsesidigheten genom en allmän ekvivalent skiljer sig från Hegels begrepp om reciprocitet. Att Marx använder den syllogistiska förmedlingen, som Hegel introducerar i sektionen om Begreppet i Logiken, understryker detta.

[16] Redan i sin analys av produktionen och varucirkulationen såg Marx hur prissättningen av en produkt införlivade den i kapitalet, även om den var producerad i ett icke-kapitalistiskt produktionssätt. (Kapitalet, band 2, 101-103). Från den sociala fabrikens perspektiv - där det så kallade icke-kapitalistiska produktionssättet förstås som metoder för att organisera oavlönat arbete - är detta idag än mer sant.

[17] Vad gäller IMF:s ökande roll vid kapitalets användning av pengar som ett vapen mot arbetarklassen, se Christian Marazzi, "Money in the world crisis", Zerowork 2, 104-106.