Leest u dit met een smartphone?
Met (enkele) smartphones moet u zelf uitmaken welke modus voor u geschikt is
Na de Tweede Wereldoorlog kende het kapitalisme een vrij lange periode van grote groei; een schril contrast met de aanslepende stagnatie van de crisisjaren 30. Door vele burgerlijke economen en vooral door de sociaaldemocratie werd dit als een overwinning van hun ideeëngoed beschouwd. Zij hadden zich met enthousiasme achter de theorie van de economist Keynes geschaard, die in de jaren 30 tot de conclusie kwam dat de kapitalistische crisis bedwongen kan worden, als de staat maar regelend tussenkomt. Met instrumenten als krediet, staatsbestellingen, sociale zekerheid zou de staat het aanbod en de vraag op elkaar afstemmen, door de economie te remmen bij oververhitting en aan te zwengelen bij inzinking. De vooruitgang van de economische theorie, de sturende tussenkomst van de staat in de economie, de invloed van de planning zouden voortaan de economische catastrofes bedwingen. Het kapitalisme had zijn kruissnelheid gevonden – er zouden geen depressies meer komen, hoogstens wat conjunctuurschommelingen.
Al dit optimisme is ondertussen weggeveegd door een zware structurele inzinking in de hele kapitalistische wereld, met een eerste dieptepunt rond 1974-1975 en een tweede rond 1982-1983. Tijdens die eerste periode van zeven jaar ging de economische terugval gepaard met een ongewoon hoge inflatie (Dit nieuwe fenomeen kreeg de naam ‘stagflatie’). Sinds 1983 is er een geleidelijke toename van de groei, zonder dat de groeicijfers het niveau halen van voor 1970.
De burgerij koos voor een terugkeer naar het klassieke liberale ideeëngoed om de crisis te lijf te gaan. De jaren 80 werden beheerst door boegbeelden als Thatcher en Reagan. Zowel de sociaaldemocratie als de christendemocratie stemden hun klok op elkaar af en probeerden de liberale golf te counteren door zich als de betere dienaars van de patronale belangen op te werpen. In België nam Wilfried Martens eind 1981 zijn ‘liberale bocht’, in Frankrijk nam Mitterrand in 1983 de fakkel over van het neoliberale beleid. Sinds 1987 zetten ook de Belgische socialistische partijen in volle continuïteit het crisisbeleid verder. De loonblokkering, de afbraak van de sociale zekerheid, de verdekte privatisering, de inkomensoverdracht naar de bedrijven en de rijken, de saneringen met afdankingen: vandaag is er nauwelijks nog een verschil in aanpak te merken tussen de grote burgerlijke stromingen. Het zet de vakbonden onder grote ideologische druk: wie niet de economische logica van het systeem zelf aanvalt, ziet geen alternatief.
Sinds de val van de Oost-Europese regimes en hun knieval voor het kapitalisme is daar een tweede ideologisch offensief bijgekomen. De markteconomie zou definitief haar superioriteit bewezen hebben tegenover de planeconomie en de burgerlijke democratie zou voortaan de klassenstrijd overbodig maken. De herinnering aan de crisisoffers wordt weggeveegd met hoerakreten. De Japans-Amerikaanse acoliet van het Witte Huis, Fukuyama, bejubelt ‘het einde van de geschiedenis’, het definitieve failliet van het socialisme. En hij vindt nog gehoor ook.
In die omstandigheden lijken zelfs de ‘structuurhervormingen’ van 1954-1956 en het ‘zelfbeheer’ of de ‘arbeiderscontrole’ van 1970-1971 ver weg. De antikapitalistische taal waarmee deze door en door reformistische ordewoorden waren omgeven, is begraven. Dat tonen de laatste grote vakbondscongressen waarnaar we hier regelmatig zullen verwijzen.?[30]
Een gefundeerde analyse van het kapitalisme, zijn crisis, zijn onoplosbare tegenstellingen en zijn vooruitzichten is daarom van doorslaggevend belang om die euforie te doorprikken. Zonder die analyse kunnen we geen juiste inschatting maken van de taken en de kansen van de vakbeweging.
De patronale analyse over de oorzaak van de grote crisis is simpel: het kapitalisme, de mechanismen van de vrije markt werden geweld aangedaan door externe ingrepen (de verhoging van de petroleumprijs in oktober 1973 en januari 1979), door een overdreven uitbouw van de staat en de sociale voorzieningen, door te hoge lonen. Dit is zowat de inhoud van het OESO-rapport dat in 1977 de diagnose stelt aan het ziekbed van het kapitalisme: “Volgens onze analyse is de recente evolutie te verklaren door een uitzonderlijke samenloop in de tijd van een reeks ongelukkige gebeurtenissen, die zich ongetwijfeld nooit op dezelfde schaal zullen herhalen en waarvan de uitwerking werd versterkt door bepaalde fouten in de economische politiek, die vermeden hadden kunnen worden.”?[31] De strijd moet aangebonden worden tegen de inflatie, door besnoeiingen, door looningrepen, door het geld duurder te maken (hoge intresten). De pillen zullen toegediend worden door Thatcher, Reagan en hun volgelingen.
Deze analyse gaat er essentieel van uit dat het systeem fundamenteel gezond is, maar door een verkeerde behandeling en door externe ingrepen werd geveld. “Als we niet kunnen verhinderen dat er weer een belangrijke werkloosheid opduikt, dan heeft dat niets te maken met het falen van het kapitalisme of de markteconomie, maar het is enkel en alleen het resultaat van onze eigen fouten, ondanks de ervaring uit het verleden en ondanks onze kennis”, stelt de superliberale denker Hayek.?[32] Het liberale credo luidt sinds Ricardo en Smith dat het systeem geen crisissen maar ‘onevenwichten’ kent, die spontaan hersteld worden als de marktprincipes vrij kunnen spelen.
De liberale theorie van het spontane evenwicht heeft verschillende varianten. Margaret Thatcher gaat in de leer bij Milton Friedman en de monetaristen (de school van Chicago). Volgens het monetarisme is de inflatie het hoofdgevaar. Die inflatie wordt verwekt door buitensporige staatsuitgaven en de geldschepping die ermee gepaard gaat (de keynesiaanse politiek). Om die te verhelpen moet een strenge, beperkende monetaire politiek worden gevolgd en moeten de loonsverhogingen bezworen worden.
Ronald Reagan maakt een mengsel van het monetarisme en de aanbodeconomie (supply-side economics). Deze laatste steunt op de wet van Say: “Elk aanbod schept zijn eigen vraag”. Volgens deze theorie volstaat het om ‘optimale’ productievoorwaarden te scheppen om het evenwicht te herstellen. Weg dus met alle belemmeringen – sociale en economische. Deregulering is het ordewoord. Een van de grootste belemmeringen is de veel te hoge belastingdruk. Dit wordt uitgedrukt in de ‘curve van Laffer’, die stelt dat boven een bepaalde aanslagvoet de totale belastingopbrengst begint te dalen. Belastinghervorming is de boodschap.
De politieke realisering van deze ideeën gebeurde onder aanvoering van Thatcher, Reagan, Kohl, Mitterrand en Martens V tot en met VIII. De logistieke steun wordt verleend door kapitalistische ‘studiediensten’, het McCracken-rapport in de VS, het rapport Albert-Ball voor de EEG, de OESO-rapporten, de rapporten van de Nationale Bank, enz.
Al deze theorieën hebben hun kern gemeen: telkens wordt de interne logica van het kapitalistisch systeem buiten schot geplaatst. Men ‘behandelt’ de symptomen en niet de echte oorzaken. De geneesmiddelen kunnen de ziekte tijdelijk onderdrukken en wegstoppen, zelfs de illusie wekken dat alles opgelost is, maar dit zal zich wreken bij de volgende crisis.
Wie achter de oppervlakkige fenomenen wil doordringen naar de oorzaak van crisissen, komt onvermijdelijk bij Marx terecht.
Volgens Marx zijn crisissen een wezenlijk bestanddeel van het economisch systeem. Crisissen zijn geen ‘afwijkingen’ van het spontane evenwicht, maar liggen ingebakken in de economische wetmatigheid van de productiewijze. Het voortbestaan (of reproductie) van deze productiewijze veronderstelt een evenwicht tussen productie en circulatie van goederen, tussen productiecapaciteit en afzetmogelijkheden, tussen de accumulatie van kapitaal en de koopkracht van de bevolking. Dit evenwicht is onmogelijk te bereiken omdat drie onoplosbare tegenstellingen het kapitalisme verscheuren. Die tegenstellingen maken crisissen van overproductie niet alleen mogelijk, maar onvermijdelijk. (Zie 111 bis.)
De drie tegenstellingen komen tot uitbarsting in crisisperiodes. In die crisisperiodes nemen alle permanent aanwezige tegenstellingen van het systeem een acute vorm aan. In wezen zijn alle kapitalistische crisissen, crisissen van overproductie. Het economisch leven stokt, niet omdat er te weinig wordt geproduceerd, maar omdat er teveel wordt geproduceerd. Fabrieken sluiten, arbeiders worden afgedankt omdat er te veel koopwaren zijn die niet met voldoende hoge winst verkocht kunnen worden. De crisis uit zich in een sterk vertraagde of negatieve groei, onderbezetting van het productieapparaat, val van de winst, daling van de investeringen en stijging van de werkloosheid. Op basis van deze kenmerken kan men een cyclisch verloop van de productie zien. Elke cyclus heeft een fase van expansie (hoogtepunt), van crisis (omslag), van depressie (dieptepunt) en van herneming (omslag).
Het kapitalisme kan de periodieke crisissen niet verhinderen omdat het gebaseerd is op privébezit van de productiemiddelen, op uitbuiting. De drie tegenstellingen gaan terug op de hoofdtegenstelling van het kapitalistische systeem. Dit is de tegenstelling tussen het toenemende sociaal karakter van de productie enerzijds en het privébezit van de productiemiddelen met privé toe-eigening van de geproduceerde waren anderzijds.
Privébezit van productiemiddelen betekent dat concurrentie en jacht naar maximale winst de drijfkracht zijn van de productie. Het motief is niet de bevrediging van maatschappelijke noden en collectieve belangen, maar de winst en de steeds grotere accumulatie van kapitaal. Daardoor neemt de fundamentele tegenstelling steeds scherpere vormen aan. Steeds meer productiemiddelen worden door accumulatie van winst en door centralisatie van kapitaal (fusies, overnames ...) geconcentreerd in handen van een kleine minderheid, terwijl door monopolievorming, imperialisme en internationalisering het sociale karakter van de productie steeds groter wordt Dit heeft als gevolg dat de omvang, de weerslag en de internationale uitstraling van de crisissen in de rijke landen ook groter wordt.
De ‘productiewijze’ staat voor het geheel van omstandigheden waarin de productie en reproductie van de materiële levensvoorwaarden gebeurt die het leven van de mens in gemeenschap bepalen.
De kapitalistische productiewijze wordt gekenmerkt door twee essentiële zaken:
1° De marktvorm is de dominerende vorm waaronder de geproduceerde waren uitgewisseld worden (de ‘vrijemarkteconomie’).
2° De directe producenten van die waren zijn gescheiden van het bezit van de productiemiddelen (er is privébezit van productiemiddelen). De arbeiders kunnen enkel in leven blijven door hun arbeidskracht te verkopen aan diegenen die het kapitaal bezitten. Met andere woorden, er liggen sociale relaties besloten in de productie en in de uitwisseling van goederen.
Deze kapitalistische productiewijze wordt beheerst door drie onoplosbare tegenstellingen die onvermijdelijk naar crisis voeren.
1° Er is een tegenstelling tussen de wetenschappelijke organisatie van de productie binnen elk bedrijf of elke groep enerzijds en de afwezigheid van maatschappelijke planning anderzijds.
De ongebreidelde winstjacht en concurrentie leiden tot maatschappelijke anarchie, ongelijkmatige ontwikkeling van sectoren, gewesten, landen en werelddelen. De kapitalisten streven individueel hun maximumwinst na. Er is geen sociale planning, er is anarchie op maatschappelijk vlak. Dit leidt tot een onevenwichtige ontwikkeling van de sectoren.
Marx toont hoe reproductie moet beantwoorden aan bepaalde wetten om het evenwicht tussen de productie van machines en de productie van consumptiemiddelen niet te verstoren. Onder het kapitalisme wordt dit evenwicht permanent verstoord, grote onevenwichten leiden tot kettingreacties en crisis.
Bovendien ligt deze anarchie aan de basis van de onevenwichtige ontwikkeling van werelddelen, streken en gewesten. Deze onderontwikkeling maakt een harmonische ontwikkeling van vraag en aanbod op wereldvlak onmogelijk.
2° Er is een tegenstelling tussen de drang naar onbeperkte uitbreiding van de productiecapaciteit enerzijds en de beperktheid van de afzetmarkten anderzijds. Dit leidt onvermijdelijk naar crisissen van overproductie, eerst in bepaalde sectoren, dan algemeen.
De eigenaars van de productie-eenheden investeren geld in het productieproces en brengen het resultaat van die productie op de markt, waar zij het hopen te verkopen. Als hun product geen koper vindt is het sociaal waardeloos, wordt het geïnvesteerde geld niet ‘gerealiseerd’. De concurrentie voor de afzetmarkten dwingt elke kapitalist te accumuleren en de gerealiseerde winst te herinvesteren. De accumulatiedwang wordt de basiswet van de productiewijze. Dit vertaalt zich in steeds meer en goedkoper produceren.
Anderzijds kopen de eigenaars van de productie-eenheden arbeidskracht, voor een hoeveelheid geld die kleiner is dan de waarde die deze arbeidskracht voortbrengt tijdens het productieproces. Het verschil is de meerwaarde. De arbeider krijgt een som geld in ruil voor zijn geleverde prestatie, die ongeveer overeenkomt met wat hij nodig heeft om zijn arbeidskracht (en die van de toekomstige generatie) op peil te houden. De kapitalist probeert permanent de meerwaarde te verhogen en het deel van het loon te verminderen (dit is de uitbuitingsgraad). Maar de verhoging van de uitbuiting beperkt tegelijk de koopkracht van de belangrijkste bevolkingsgroep, de arbeiders en werkers.
De kapitalisten streven meer winst na door de productiekrachten te ontwikkelen, door de productie op te drijven. De toegenomen productiecapaciteit botst op de grenzen van de vraag. De solvabele vraag aan productiemiddelen (nieuwe machines) en aan consumptiemiddelen groeit minder snel dan de productiemogelijkheden. “In laatste instantie blijft de oorzaak van alle crisissen, de armoede en de beperktheid in koopkracht van de massa, die staat tegenover de drang van de kapitalistische productie om de productiekrachten zo te ontwikkelen alsof de grenzen alleen worden bepaald door de absolute consumptiekracht van de maatschappij” (Marx).
3° Er is een tegenstelling tussen het streven naar maximumwinst enerzijds en de tendens tot daling van de winstvoet anderzijds.
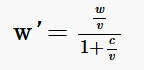
Wat de hele kapitalistenklasse als klasse interesseert, is de totale winst die er te verdelen valt. Maar wat de individuele kapitalist interesseert, is de winstvoet, dit is de verhouding tussen de winst en het totale kapitaal dat hij zelf geïnvesteerd heeft. Dit geïnvesteerde kapitaal bestaat uit constant kapitaal (c = machines, werkmiddelen, gebouwen ...) en variabel kapitaal (v = arbeidskracht).
Elke individuele kapitalist kan zijn winstvoet verhogen door nieuwe machines en technieken in te voeren, door arbeidskracht te vervangen door machines. Maar op globaal, maatschappelijke schaal neemt daardoor het aandeel in het totale kapitaal dat naar machines gaat toe. Het aandeel van c stijgt tegenover v, of, in marxistische termen: de organische samenstelling van het kapitaal (c/v) neemt toe. Daardoor daalt relatief het deel dat aan arbeidskracht wordt besteed, de enige bron van meerwaarde.
De globale, maatschappelijke winstvoet wordt als volgt bepaald:
m’ = m/c+v of w’ = w/c+v
Deelt men teller en noemer door v, dan verkrijgt men:

Men kan stellen dat de winstvoet evenredig is met de uitbuitingsgraad (m/v) en omgekeerd evenredig met de organische samenstelling (c/v). Dit heeft als gevolg dat de winstvoet over langere termijn een tendens tot daling vertoont: per eenheid geïnvesteerd kapitaal wordt er minder winst gemaakt.
De motor van de kapitalistische productie valt stil en er wordt minder geïnvesteerd. Er is overaccumulatie van kapitaal. De val van de winstvoet kan tijdelijk geneutraliseerd worden door het verhogen van de uitbuitingsgraad, door een daling van de grondstofprijzen, door investering in landen met een lage organische samenstelling, enz., maar zet zich ten volle door in crisisperiodes. Een van de indicatoren ervan is dat een groeiend deel van het kapitaal in niet-productieve, speculatieve activiteit wordt belegd.
Bij het behandelen van het begrip ‘crisis’ moet klaarheid worden gebracht over de precieze betekenis ervan. Het woord wordt in verschillende betekenissen gebruikt. Is er een onafgebroken crisis sinds 1973-1974? Ja en neen. Neen, als men het bekijkt vanuit het oogpunt van de conjunctuurcyclus: de groei kende hoogtepunten (1979 en 1989) en laagtepunten (1975 en 1982). Als men de groei afmeet op langere termijn, dan kan men wél stellen dat het kapitalisme sinds het begin van de jaren 70 ‘in crisis’ verkeert. Daarom moet er onderscheid gemaakt worden tussen structurele crisis en conjunctuurcrisis.
Een conjunctuurcyclus verloopt op korte termijn, over een periode van vijf tot zeven jaar. Het zijn de steeds terugkerende recessies, gevolgd door een depressie-, een heroplevings- en een bloeifase. Hoewel deze cyclussen niet helemaal gelijklopen in alle kapitalistische landen kan men een ‘crisisomslag’ in de industriële productie van de kapitalistische wereld bij benadering situeren rond 1949, 1955, 1960, 1966, 1969, 1973 en 1980. Deze inzinkingen doen zich niet overal helemaal gelijktijdig en in even scherpe mate voor. Sinds 1960 kenden de OESO-landen op die manier een vijftal recessieperioden (in de zin van terugloop van de groei of negatieve groei): van januari 1960 tot maart 1963, van maart 1966 tot mei 1967, van juli 1969 tot eind 1971, van oktober 1973 tot mei 1975 en van februari 1980 tot november 1982.?[33] De gemiddelde duur van de cyclussen bedraagt ongeveer vijf jaar. Vanaf 1983 kenden de kapitalistische landen een bijzonder lange heroplevingsfase waaraan sinds midden 1990 een einde lijkt gekomen. De Verenigde Staten en Groot-Brittannië verkeren begin 1991 in een zware inzinking terwijl ook Frankrijk meegezogen wordt.
Deze conjunctuurschommelingen enten zich op een basislijn die periodes van langere duur afbakent. Er zijn langere periodes van gemiddeld sterke groei en langere periodes van gemiddeld lage groei of ‘structurele crisis’. Zelfs de OESO moet ondertussen toegeven dat er meer aan de hand is dan enkele conjunctuurschommelingen. De instelling maakt nu een onderscheid tussen de ‘industriecyclus’ en de onderliggende ‘trends’, waarmee verwezen wordt naar tendensen op langere termijn. Aan de hand van allerlei indicatoren komt de OESO tot een breuk in de lange termijntrend rond 1972. “Als we het hele OESO-terrein bekijken, was de groei van de industriële productietrend rond 6,5 % gedurende een groot deel van de jaren 60. De verandering in trend voor de industriële productie kan vrij precies in 1972 worden gesitueerd. De groeivoet viel snel terug tot ongeveer 2,5 % rond midden ’70 en wordt op dit ogenblik op 2,3 % geschat (sinds 1983).” (Id. p. 51.) De trendomkeer begon vroeger (eind de jaren 60) in de Verenigde Staten. (Zie 112 bis.)
Daarmee wordt ook brandhout gemaakt van de bewering dat de petroleumprijs aan de oorsprong ligt van alle problemen. De prijsverhogingen van oktober 1973 en die van januari 1979 hebben ongetwijfeld een weerslag gehad op de ontwikkeling van de recessies van 1973 en 1980, maar kunnen in geen geval de lange stagnatietrend van de kapitalistische wereld verklaren. Omgekeerd heeft ook de ineenstorting van de olieprijzen na 1985 en de terugkeer op het niveau van voor 1973 de structurele groeiproblemen van de rijke industrielanden niet opgelost. Andere gegevens wijzen erop dat reeds op het eind van de jaren 60, en dus onafhankelijk van de ‘petroleumcrisissen’, tekenen van productiviteitsdaling en van dalende winstvoet opdoken.
In periodes van lage groei verlopen de conjunctuurcrisissen anders dan in periodes van hoge groei (de periode 1945-1972). De depressies zijn diep en van lange duur. De heroplevingen zijn kort en niet krachtig. De werkloosheid blijft permanent zeer hoog. Er is een soort permanente ‘crisistoestand’. Zo spreekt men over dé crisis van 1929 en dé crisis van 1973. De structurele problemen zijn in feite al daarvoor zichtbaar en nemen geleidelijk toe, tot een aanleiding zorgt voor de uitbarsting. In 1929 was dat de beurskrach en een reeks bankfaillissementen, in 1973 de eerste verhoging van de petroleumprijs.
De fundamentele tegenstellingen van het kapitalisme leiden tot lang aanslepende periodes van trage groei. Zij monden uit in structurele aanpassingen en gewelddadige explosies (oorlog, revolutie). Het kapitalisme kende zulke periodes van 1873 tot 1895 en van 1919 tot 1939. De eerste heeft geleid tot snelle monopolievorming, export van kapitaal en imperialisme. De tweede heeft geleid tot oorlog, een versterking van het imperialisme onder aanvoering van de Verenigde Staten en tot een bloei van het staatsmonopoliekapitalisme. Sinds begin van de jaren 70 kennen we de derde ‘structurele’ crisis van het kapitalistisch wereldsysteem.
Grafiek 1
Deze grafiek toont voor de gehele OESO, voor Europa, voor Noord-Amerika en Japan de groeipercentages per jaar van de industriële productie en het bruto nationaal product. Daaruit blijkt een breuk rond 1972.

Grafiek 2
Wordt de industriële productie (alle OESO-landen samen) van 1980 als index, 100 genomen, dan blijkt hieruit een ‘langetermijntrend’ met schommelingen hierrond. Er is een ‘knak’ rond 1972.

Grafiek 3
Deze grafiek geeft het verloop van de conjunctuurcyclus voor de OESO-landen, gemeten naar de schommelingen van de industriële productie tegenover de hoofdtrend. De horizontale lijn geeft dus de ‘hoofdtrend’ aan, dit is de groeitendens op lange termijn.

_______________
[1] OECD, “OECD leading indicators and business cycles in member countries 1960-1985”, Main Economic Indicators: Sources and Methods, nr. 39, januari 1987.
De structurele problemen van het kapitalisme sinds 1970, kunnen het best verklaard worden vanuit het omkeren van de factoren die de lange groei na de Tweede Wereldoorlog hebben meegebracht.
1° De kapitalistische wereld wordt geherstructureerd onder de onbetwiste leiding van de VS. De Verenigde Staten komen als enige grote mogendheid versterkt en verrijkt uit de Tweede Wereldoorlog. Het economische apparaat is ongeschonden en heeft geweldig aan productiviteit gewonnen. De omvang van het productieapparaat is er gedurende de oorlog met 50 % toegenomen en de fysische productie van goederen is met meer dan 50 % gestegen. De strikt militaire productie is aangezwollen van 4,5 miljard dollar in 1941 tot 37,5 miljard dollar in 1943 en vertegenwoordigt op dat ogenblik 40 % van de totale nationale productie.?[34]
De economie van al haar vroegere tegenstanders daarentegen is door de oorlog ten gronde gericht. Door haar verworven technologische en productieve voorsprong, torent de Verenigde Staten ver boven de rest van de kapitalistische mogendheden. Haar suprematie evenaart deze van het Britse imperium rond 1815: zij controleert twee derde van de wereldgoudvoorraad (20 miljard dollar), meer dan een derde van de wereldgoederenproductie en een derde van de wereldexport van goederen. Met een reusachtige militaire en handelsvloot, met het monopolie over de atoombom is de positie van de Verenigde Staten als supermacht onaantastbaar.
De enige internationale tegenspeler is het communistische blok, dat economisch verzwakt, maar politiek enorm versterkt is door de oorlog. Rusland heeft de zwaarste oorlogstol betaald in het antifascistische verzet en kan precies daardoor rekenen op een zeer groot internationaal prestige. Bovendien staat de Sovjet-Unie niet langer alleen: de acht naties van het ‘Oostblok’ vervoegen het socialistische kamp. Er wordt verder gestreden in China, in Korea, in Indochina en Indonesië, in Griekenland. Het spook van het communisme verontrust de internationale burgerij, temeer omdat ook in landen als Frankrijk, Italië en België de communisten het verzet hebben aangevoerd en sterker zijn dan ooit tevoren. De eerste zorg van de Verenigde Staten is dan ook om het communisme in te dammen en haar eigen wereldorde stevig uit te bouwen. De nieuwe internationale wereldorde, de ‘pax Americana’, wordt vergrendeld met een viervoudig slot, dat op alle vlakken de Amerikaanse suprematie vastlegt.
Op monetair vlak krijgt de dollar het statuut van officiële internationale munt door de akkoorden van Bretton-Woods (1944) en worden het Internationaal Monetair Fonds (IMF) en de Wereldbank opgericht om die te waarborgen. De vaste wisselkoersen zorgen voor een periode van financiële stabiliteit op wereldvlak. Zolang de VS een groot handelsoverschot heeft, kunnen de dollars ongeremd het land uitvloeien voor investeringen, voor oorlogsvoering in Vietnam: ze komen terug langs de bestelling van goederen. De VS speelt op die wijze de rol van wereldbankier die het nodige geld schept voor toename van de internationale productie, handel en investeringen.
Op politiek-economisch vlak investeert de Verenigde Staten in de heropbouw van een vazal-Europa: het Marshallplan keert tussen 1 juli 1948 en 30 juni 1950 voor 8,6 miljard dollar ‘hulp’ uit aan het verwoeste Europa, onder de vorm van leningen en schenkingen. Daarvan krijgen België en Luxemburg 560 miljoen dollar. Op die manier wordt Europa stevig ingesnoerd in een economisch en politiek bondgenootschap en wordt het een grote afzetmarkt voor de Amerikaanse exporteurs die geen blijf weten met de oorlogscapaciteiten.
Dit politiek manoeuvre wordt aangevuld met een militair akkoord, het Noord-Atlantisch Bondgenootschap (NAVO, 1949), dat de Amerikaanse belangen in Europa en over de hele wereld moet veiligstellen.
Op handelsvlak is de Amerikaanse grootmacht het best gebaat met de vrijhandel en dit wordt vastgelegd in de GATT-akkoorden (1947). De handelsstromen, vooral tussen de rijke landen, nemen snel toe: in 1950 telt de import voor een twintigste van de aangeboden producten in de OESO-landen, in 1984 voor een vierde.?[35]
In de derde wereld tenslotte neemt de VS stap voor stap de plaats in van de oude koloniale mogendheden. Met een onvoorstelbare rij van staatsgrepen, aanslagen tegen nationalistische leiders, sabotage tegen nationalistische regimes en met terroristische moordbrigades brengt of houdt de VS er bevriende dictatoriale regimes aan de macht.
2° De hele kapitalistische wereld kent een bloei van het ‘fordisme’, als model van productie en sociale regulering.
De Amerikaanse oorlogsindustrie ligt aan de basis van een grote technologische voorsprong, die nu ook kan benut worden om de wereldmarkten te overspoelen. De radar, de kernsplitsing en fusie, de eerste toepassing van computersystemen voor de berekening van ballistische banen zijn baanbrekende uitvindingen die de weg openen naar de ruimtevaart, de kernenergie en de numeriek bestuurde machines. Ze zullen vooral de ‘elektronisering’ en de automatisering van de industrie een impuls geven. De tweede technologische revolutie beleeft als het ware een tweede jeugd. De elektrotechniek, de automobiel en de luchtvaart, de telecommunicatie (radio, tv), de huishoudmachines, de chemische producten en plastics worden in de twintig jaar na de oorlog artikelen van massaconsumptie. Het taylorisme en fordisme krijgen nieuwe ontplooiingskansen op een markt in volle expansie. De kapitalistische wereldproductie bereikt in die periode een nieuwe kruissnelheid die zich duidelijk op een hoger niveau van productiviteit, van afzetmarkt en van groei bevindt. Dit laat toe om hogere lonen te betalen, de koopkracht op massaschaal te vergroten, zonder dat daarom iets veranderd wordt aan de relatieve verdeling van de meerwaarde tussen arbeid en kapitaal. Studies wijzen uit dat die zelfs in de golden sixties quasi onaangeroerd blijft.?[36]
3° Het globale resultaat is een lange periode van relatief snelle groei, die af en toe wordt getemperd door conjuncturele inzinkingen. De markt wordt in die periodes aangezwengeld door een groeiende overheidstussenkomst, door publieke bestellingen en door een aangepaste kredietpolitiek volgens Keynes’ recept. Het toenemende gebruik van krediet op massaschaal geeft nog een bijkomend elan aan het verbruik.
4° Vanaf de jaren 60 wordt het wereldbeeld in toenemende mate bepaald door een snelle internationalisering van de economie. Nog veel meer dan de internationale instellingen en de handelsstromen zijn de multinationale ondernemingen hiervoor kenmerkend. Tot hiertoe is de export van kapitaal voornamelijk verlopen in de richting van de kolonies, gericht op het goedkoop verwerven van grondstoffen en landbouwproducten. Na de tweede wereldoorlog en vooral in de jaren 60 neemt de kapitaalexport sterk in omvang toe, hoofdzakelijk tussen de imperialistische landen onderling. De Amerikaanse multinationals veroveren de wereld en overspoelen Europa. In 1960 hebben Amerikaanse multinationals 32 miljard dollar kapitaal in het buitenland, in 1975 is dat 124 miljard dollar geworden. Hierbij moet rekening worden gehouden met het feit dat deze cijfers slechts het werkelijk geëxporteerd kapitaal weergeven; de waarde van de investeringen in het buitenland ligt veel hoger omdat meer dan de helft op de plaatselijke kapitaalmarkt of onder vorm van plaatselijke overheidssteun wordt verzameld.
De VS-bedrijven nemen midden de jaren 70 44 % van het totale kapitaalbestand in het buitenland voor hun rekening.?[37]
Aan de structurele crisis ligt in de eerste plaats de dalende winstvoet ten grondslag. Maar het is tegelijk een ‘politieke crisis’, een langdurige verstoring van de kapitalistische evenwichten, een crisis van het imperialisme en een gewijzigd patroon in de wereldhegemonie.
1° De VS-superioriteit brokkelt af.
Vanaf het eind van de jaren 60 komt de heerschappij van de VS in het gedrang, zowel door klappen in de periferie als door de opkomst van concurrerende mogendheden.
In 1971 wordt de VS verplicht om China te erkennen, in 1975 wordt de nederlaag in Vietnam bezegeld met de totale terugtocht uit Indochina. De OPEC voelt zich gesterkt door de Amerikaanse problemen en lanceert het dubbele prijzenoffensief van 1973 en 1979. In de eigen achtertuin kan de VS de Nicaraguaanse revolutie niet verhinderen (1978) en in 1979 wordt de VS vernederd door Iran.
Ondertussen heeft de VS aan economische voorsprong ingeboet tegenover snel groeiende mogendheden als Duitsland en vooral Japan. Dit uit zich in een omkering van de handelsstromen: in de periode 1968-1973 slinkt het overschot op de handelsbalans tot nul. De dollars blijven het land uitvloeien en voeden de markt van de ‘vaderlandsloze’ dollars, de eurodollarmarkt, die op de vooravond van de ‘petroleumcrisis’ al 130 miljard dollar rijk is. De opstapeling van deficits verplichten Nixon om op 15 augustus 1971 de dollar los te koppelen van het goud, waarmee de naoorlogse monetaire orde (Bretton-Woods) in elkaar stort. In 1973 devalueert de dollar, in een eerste poging om het handelstekort om te buigen.
In plaats van internationale economische stabiliteit te brengen, neemt de VS nu de wereldeconomie op sleeptouw, op zoek naar oplossingen voor de nationale problemen. De economie verliest terrein tegenover de concurrenten, zowel op het vlak van de productiviteit, als op het vlak van de technologische vooruitgang. Acht jaar Reagan-bewind zijn een nieuwe poging om op kunstmatige wijze de Amerikaanse grootheid te herstellen, ten koste van een verdere ontregeling van de evenwichten op wereldvlak.
De militaire uitgaven worden opgedreven tot 300 miljard dollar per jaar (7 % van het BNP, een record procent in vredestijd). De belastingen worden verlaagd en het groeiend staatstekort wordt met leningen gedekt. Met een sterke dollarpolitiek (hoge intresten) zuigt de VS de wereldreserves naar zich toe. De gevolgen zijn catastrofaal: twee jaarlijkse schuldbergen van rond de 150 miljard dollar (begrotingstekort en handelstekort) maken de VS tot grootste schuldenaar ter wereld, met een buitenlandse schuld van 700 miljard dollar in 1990 (op een totale schuld van 3.200 miljard dollar).
Het is duidelijk dat de VS-economie sinds jaren ‘boven haar stand’ leeft, door opstapeling van schulden. Zelfs de val van de dollar na 1985 heeft daar weinig of geen verandering in gebracht. Het begrotingsjaar 1990 sluit af met een tekort van liefst 220,4 miljard dollar en het handelstekort bedraagt in 1990 nog altijd meer dan 100 miljard dollar. Nochtans leeft niet iedereen boven zijn stand in de VS. De Reagan-maatregelen hebben de inkomenskloof opgedreven. Tussen 1980 en 1990 hebben de 20 % rijksten officieel 33 % netto-inkomen bijgewonnen, de 20 % armsten hebben 5 % netto-inkomen verloren. De top van 1 % kende een winst van 87 %. Die top heeft daarmee een totaal inkomen dat gelijk is aan dat van de 40 % armsten!?[38] 31 miljoen Amerikaanse burgers (meestal zwarten), of 13 % van de bevolking, leeft met een inkomen onder de armoedegrens (185.000 frank per jaar voor een alleenstaande). In het rijkste land ter wereld lopen ongeveer 2,2 miljoen dakloze zwervers rond. Een Amerikaan op zes is niet verzekerd tegen ziekte. Reagan schiep miljoenen nieuwe werkplaatsen: meestal hongerjobs in de dienstensector. Een werker op vier (of 35 miljoen) is tewerkgesteld als tijdelijke, als deeltijdse kracht of gewoon met een ‘huurcontract’.
2° Tegenover de Amerikaanse problemen staat de reële versterking van de Japanse en Europese economie, waardoor de strijd tussen de grote imperialistische machten scherpere vormen gaat aannemen. De groei van het BNP (Bruto Binnenlands product) en van het BNP per hoofd van de bevolking, geeft een eerste beeld van de machtsverschuiving.
BNP in miljard dollar
voor resp. 1965, 1975, 1989
| 1965 | 1975 | 1989 | |
| Verenigde Staten: | 687 | 1.526 | 5.200 |
| Duitsland: | 115 | 420 | 1.331 |
| Japan: | 89 | 499 | 2.728 |

BNP/hoofd van de bevolking in dollar
van 1980
voor resp. 1960, 1970, 1980, 1980
| 1960 | 1970 | 1980 | 1980 | |
| Verenigde Staten: | 7.223 | 9.325 | 11.636 | 14.071 |
| Europa: | 5.899 | 8.554 | 10.831 | 13.334 |
| Japan: | 2.683 | 6.415 | 9.109 | 12.697 |
Wat de VS aan handelstekorten boekt, wordt gecompenseerd door handelsoverschotten bij Japan en Duitsland. In 1987 bereikt die situatie een hoogtepunt: tegenover een VS-tekort van 160 miljard dollar staat een overschot van 96 miljard dollar in Japan en 65 miljard dollar in Duitsland. Die twee landen bouwen op die manier grote financiële reserves op die terug geleend worden aan de VS om de tekorten te dekken. Japan wordt de grootste internationale geldschieter en financiert ongeveer 30 tot 40 % van de Amerikaanse buitenlandse schuld.
De handelsoverschotten, de spaarreserves van bedrijven en particulieren vormen een uitstekende voedingsbodem voor banken en financiële instellingen. Op enkele jaren tijd rukken de Japanse banken op naar de top, met acht van de tien grootste banken op wereldvlak. De Japanse investeringen in het buitenland verzesvoudigen tussen 1985 en 1989 (van 12 naar 68 miljard dollar).
Een van de meest betekenisvolle vergelijkingen is die tussen de brutokapitaalvorming in de drie betrokken landen – het deel van het BNP (in procent) dat besteed wordt voor investeringen. Onderstaande grafiek geeft de cijfers voor de belangrijkste kapitalistische landen.
Investeringsgraad in procent van het BNP,
zonder woningbouw
Jaren 60, jaren 70, jaren 80 (tot 1987)[39]
| ’60 | ’70 | ’80 | |
| Verenigde Staten: | 13,0 | 14,0 | 13,0 |
| Duitsland: | 18,0 | 16,0 | 14,5 |
| Japan: | 27,0 | 26,5 | 24,5 |
Investeringsgraad in % van het BNP

Duitsland heeft zich tot voor kort op een minder spectaculaire wijze opgewerkt tot een van de sterkste economische machten. In 1989 noteerde Duitsland voor het eerst een groter handelsoverschot dan Japan (81 miljard dollar). Zijn dominerende rol in Europa wordt het best weerspiegeld in de onaantastbare positie van de Deutsche mark (DM). Als ‘sterke munt’ onderwerpt zij alle landen die onder de mantel van het Europese monetaire stelsel thuishoren aan de discipline van de DM. Met de oprichting van de Europese Centrale Bank (Eurofed) in 1994 en de vorming van de eenheidsmunt (ECU) tegen het einde van deze eeuw, zal de onderwerping aan de Duitse dictaten nog groter worden. Om de Belgische frank aan de Duitse mark te kunnen koppelen waren acht jaar loondiscipline, soberheidsmaatregelen en budget besnoeiingen nodig. Om de koppeling in stand te houden zullen nog grotere offers nodig zijn.
De Duitse hereniging en de invasie van de Duitse monopolies naar het Oosten hebben een totaal nieuwe dimensie gegeven aan Duitse grootmacht-ambities. De Deutsche Bank wordt de nieuwe heerser van Europa en Duitsland slaat onweerstaanbaar, zoals in de jaren 30, de weg in van het Groot-Europa onder Duitse leiding.
Na het herstel van het kapitalisme in het Oostblok waren de triomfkreten niet uit de lucht. Nu ook de Sovjetideologen de deugden van het kapitalisme en zelfs het imperialisme bezingen?[40], juichen alle bourgeois-denkers en -partijen over de schitterende toekomst van de markteconomie. Vele voorspellers waagden het om een nieuwe lange periode van expansie en vrede te voorzien. De Golfcrisis heeft ondertussen het enthousiasme geblust: het is duidelijk dat er een periode van Noord-Zuid conflicten en nieuwe bevrijdingsstrijd in de maak is. Maar ook binnen het vernieuwde kapitalistische kamp is de crisis allesbehalve opgelost en staan er grote verscheurdheid en nieuwe sociale explosies op het programma.
De algemene crisis van het kapitalisme als systeem, die een aanvang nam vanaf de eerste socialistische revolutie in 1917, groeit in de komende decennia ongetwijfeld naar nieuwe hoogtepunten.
1° Naar extreme kapitalistische anarchie, armoede en burgeroorlog in het Oostblok.
“Al bij al”, schrijft de Deutsche Bank, “lijkt het er eens te meer op, alsof Europa een tijdperk van verlichting en rede is binnengetreden. 1989 was een schitterend vervolg op 1789. Pragmatisme heeft ideologieën van alle slag overwonnen.”?[41]
Voor de Deutsche Bank, de Dresdner Bank en de Commerz Bank, voor alle Europese monopolies opent de val van de Oost-Europese regimes ongekende perspectieven. Het ‘pragmatisme’ betekent de privatisering van de hele Oost-Europese industrie, de inlijving door West-Duitsland van de tiende industriële natie ter wereld, de verovering van de Oost-Europese markten door Volkswagen en Siemens, Bayer en BASF. De ‘rede en de verlichting’ heeft nu al werkloosheid en armoede gezaaid: op een jaar tijd zijn 1,1 miljoen werkplaatsen vernietigd in het voormalige Oost-Duitsland en kwamen er 1 miljoen werklozen in Polen. Nationalisme en rechtse ideologieën rukken op in de Balkanstaten en in de Sovjet-Unie: ongetwijfeld een overwinning van de ‘verlichting’ ... Extreme miserie zal het lot zijn van tientallen miljoenen. Het is erg te betwijfelen of deze ‘weldaden’ van het kapitalisme binnen enkele jaren een nog even groot enthousiasme zullen opwekken onder de werkers van het Oostblok.
2° De derde wereld in een uitzichtloze toestand. Het eerste slachtoffer van de omwenteling zal eens te meer de derde wereld zijn. Nu de Sovjet-Unie op Westerse golflengte zit en zich stilaan inschakelt in de imperialistische wereldorde, moeten de arme landen zelfs niet meer rekenen op gunstiger economische akkoorden en worden ze nog meer de speelbal van de ‘vrije markt’. De Westerse kapitaalreserves worden afgeleid naar de veel rendabeler projecten in het Oostblok, terwijl de derde wereld langzaam leeg bloedt in zijn schuldenlast. “De ontwikkeling van handelsblokken – USA-Canada, het eengemaakte Duitsland, de EEG en morgen wellicht het Grote Europa van de Atlantische Oceaan tot de Oeral – compenseert ruimschoots het verlies van afzetmarkten te wijten aan de povere groei van de minst ontwikkelde economieën”, aldus Paribas.?[42] Voor de inlijving van Oost-Duitsland zal Duitsland 1.000 miljard mark ophoesten, de helft van de totale schuld van de derde wereld. Nu er geen reuzewinsten meer te rapen vallen worden de derdewereldlanden door de banken terug verwezen naar ontwikkelingshulp ... “Het pas aangevat decennium wordt voor de ontwikkelingslanden van Latijns-Amerika en Afrika ongetwijfeld een van de moeilijkste van de twintigste eeuw”, voegen de Paribas-bankiers er cynisch aan toe.
Met een schuldenlast die eind 1989 1.390 miljard dollar bedraagt, betalen de derdewereldlanden sinds 1981 effectief meer aan intrest en afbetaling dan er aan nieuwe leningen binnenstroomt. De derde wereld is met andere woorden netto-exporteur van kapitaal geworden, jaarlijks stroomt ongeveer 40 à 50 miljard dollar van Zuid naar Noord!
Terwijl de schuldbetalingen stegen daalden de exportinkomsten door de dalende grondstoffenprijzen. De derdewereldlanden proberen dus meer uit te voeren en raken zo nog meer verstikt in de netten van de multinationale ondernemingen die de prijzen van uitgevoerde producten nog verder drukken en van het IMF dat zijn monsterachtige verarming oplegt De grondstofprijzen zakten ondertussen naar een dieptepunt. De IMF-index die de prijzen van de grondstoffen tegenover die van de afgewerkte producten afmeet, daalde van basis 100 in 1957 naar 66 in 1985.?[43] Tussen 1981 en 1985 daalden de prijzen van de voedingsgrondstoffen met gemiddeld 15 %, landbouwproducten met 7 % en mineralen met 6 %. In 1986 alleen was er een verslechtering van 30 % in de ruilvoet (verhouding tussen invoer- en uitvoerprijzen) van de ontwikkelingslanden, wat leidde tot een handelsdeficit van 94 miljard dollar met de industrielanden.?[44]
De armoede grijpt ondertussen de derdewereldlanden naar de keel. Twee miljard mensen op de wereld hebben minder dan 500 dollar per jaar om te overleven, 600 miljoen hebben geen werk, 800 miljoen zijn analfabeet, 40.000 kinderen sterven élke dag aan ondervoeding of aan gemakkelijk geneesbare ziektes. Tegen 2020 zal de wereld 8 à 9 miljard mensen tellen, voor het overgrote deel in de arme landen. De Wereldbank wijdde zijn jaarrapport van 1990 aan de armoede in de ontwikkelingslanden, aan de armsten onder de armen dus. Hieruit een citaat: “Als men de bovenste armoedegrens neemt, dat wil zeggen 370 dollar inkomen per jaar, dan zouden er in 1985, 1.115 miljoen armen zijn geweest in de ontwikkelingslanden, of ongeveer een derde van de bevolking. Op dit aantal zijn er 630 miljoen – of 18 % van de bevolking – die uiterst arm waren: hun jaarlijkse consumptie bedroeg minder dan 275 dollar, de onderste armoedegrens.”?[45] Hetzelfde rapport voorspelt, bij gelijkblijvende tendensen, een daling van 20 % van het inkomen per inwoner voor Afrika beneden de Sahara in de loop van de jaren 90; een inkomen dat de laatste jaren is teruggevallen op het niveau van de jaren 60! (pp. 7 en 17)
3° Naar een verscherpte strijd tussen de VS, Japan en Europa.
Evenwicht van krachten betekent onvermijdelijk scherpere concurrentie. Het versterken van de regionale blokken is slechts een aanzet en dient om een betere uitgangspositie te verwerven op de wereldmarkten. Tegelijk is er de drang om de ‘eigen’ lokale markt af te schermen tegen de agressieve campagnes van de concurrentie. De automobielsector is daarvan het beste voorbeeld. Nadat de Japanse producenten een stabiele 20 % hebben veroverd op de Amerikaanse markt is de Europese markt het volgend objectief. Zowat alle grote Japanse groepen hebben een bedrijf gevestigd in Groot-Brittannië of Spanje om de 1992-burcht van binnen uit te veroveren. Volgens Yukata Kume, voorzitter van Nissan, zullen op termijn slechts twee Europese groepen overblijven Fiat en Volkswagen, terwijl de andere zullen gesloten of opgekocht zijn.?[46] Een oorlogsverklaring die door de Europese groepen met samenwerkingsakkoorden (Renault-Volvo) en met lobbydruk voor protectionisme wordt beantwoord.
Vanuit de andere zijde wordt het ‘Fortress Europe’ (burcht Europa) bestookt door de Amerikaanse regering om haar landbouwsubsidies af te bouwen. Dertig procent afbouw wilde de Europese Gemeenschap op de GATT-onderhandelingen toegeven, terwijl de VS 75 % vermindering eist. De vrijhandel waarover in de GATT onderhandeld wordt, is niets meer dan een harde strijd voor het veroveren van andermans markt en het beschermen van de eigen zwakke sectoren. Als de Uruguay-ronde niet met een akkoord wordt afgerond, dreigt een regelrechte handelsoorlog, met een heropleving van de bilaterale overeenkomsten, met opbod van protectionistische maatregelen en ineenstorting van de internationale handel. De VS heeft zijn instrument al klaar: de Trade Bill Act, goedgekeurd onder Reagan, in augustus 1988. Met deze wet kunnen invoerbeperkingen, taksen of zelfs invoerverbod worden opgelegd tegen landen die dumping toepassen of tegen producten die genieten van exportsubsidies (zoals de Europese landbouwproducten).
4° Financiële wanorde en instabiliteit.
De financiële wereldorde is doorgaans de beste barometer voor de gezondheid van het kapitalisme. Als we deze graadmeter als houvast nemen, dan gaat het kapitalisme zware stormen tegemoet. Sinds de val van Bretton-Woods in 1971 en de aftakeling van de Amerikaanse suprematie, stapelen de financiële onweerswolken zich op. Zowat alle internationale instellingen waarschuwen met toenemende drang tegen de dreigende financiële catastrofes. De Bank voor Internationale Betalingen schrijft in zijn jaarrapport: “De verschillende crisissen die de laatste jaren of de financiële deelmarkten zijn uitgebroken hebben nog niet tot een kettingreactie geleid, maar de fundamentele oorzaken die tot deze crisissen hebben geleid, zijn nog steeds aanwezig.”
De eerste oorzaak: de aanwezigheid van reusachtige vlottende geldmassa’s. De schommelende wisselkoersen tussen de munten brachten overvloedige internationale liquiditeiten en de daarmee verbonden speculatie voort. De petrodollars kwamen na 1973 deze vlottende geldmassa aandikken. De neoliberale golf maakte die lading dollars, marken en yens nog mobieler door alle beschermende maatregelen die in de jaren 30 waren opgelegd aan banken en financiële instellingen te vernietigen in een wereldwijde ‘deregulatie’. Alle tussenschotten werden verwijderd en de financiële experimenten vierden hoogtij. De totale beschikbare geldwaarde in banken en op beurzen steeg van 13.864 miljard dollar (1982) naar 36.512 miljard dollar (1988). Door het elektronisch bankieren werd de circulatiesnelheid van die waarden geweldig opgedreven. Duizenden miljarden ‘verplaatsen’ zich elke dag met een druk op de knop, op zoek naar enkele fracties van een procent meer intrest. Het international bankieren groeit met 20 % per jaar, in vergelijking met 12 % voor de handel. De aangroei van deze beleggingen bedraagt 3.800 miljard dollar per jaar tegenover slechts 2.300 miljard dollar voor de investeringen.?[47] Deze fondsen zijn de permanente speelbal van speculatie en paniekreacties.
De tweede oorzaak: de opeenstapeling van onbetaalbare schuldenbergen. Een groot deel van de schuld van de derde wereld zal nooit terugbetaald worden. Toen Mexico in 1982 de schuldbetaling staakte, stond de financiële wereld op de rand van een kettingramp. De privébanken lenen sindsdien nog zelden aan de derde wereld, maar vele Amerikaanse banken blijven kwetsbaar voor het verlies van lopende leningen. Een anti-schuldfront kan niet alleen privébanken doen wankelen maar ook het hele internationale financiële stelsel. En wat kan het gevolg zijn wanneer Japanse en Duitse fondsverstrekkers zich afkeren van de dollar en de Amerikaanse staatsobligaties, wanneer die verder aan aantrekkingskracht verliezen?
Het gewicht van de VS-tekorten maakt de internationale financiën (en dus ook economie) tot een permanente gijzelaar van de Amerikaanse keuzen. Een zwalpende dollar staat minder dan 30 Belgische frank in mei 1980, klimt tot boven de 60 Belgische frank in 1985 en valt terug beneden de 30 Belgische frank in 1990, al naargelang de prioriteit van de FED naar de strijd tegen inflatie of naar het aanzwengelen van de export gaat. Deze labiliteit houdt permanent de intresten hoog omdat een risicopremie ingerekend wordt. Hoge intresten zijn slecht voor de groei en lage groei is slecht voor schuldenaars. De geldreserves gaan verder naar speculatie in plaats van naar investeringen en de hoge rente verstikt de derdewereldlanden nog meer.
Derde oorzaak: de casino-economie heeft de risico’s enorm verhoogd. De financiële deregulering heeft de winsthonger van de speculanten nog opgedreven. Er wordt gespeculeerd op alles: op grondstoffen, op petroleum, op alles wat waarde heeft, tot op de ... schuldpapieren van de derde wereld! De financiële operatoren zijn steeds vindingrijker en roekelozer geworden tot de bom is gebarsten bij de gevaarlijkste producten, de junkbonds. Junkbonds zijn letterlijk ‘prul-obligaties’ met een rente tot 20 %, maar met een zeer hoog risico. De markt werd gevoed door gespecialiseerde huizen als Drexel-Burnham-Lambert en liep naar schatting op tot zo’n 300 miljard dollar! Ze werden onder meer gebruikt om de reusachtige overnames van bedrijven te financieren, waardoor de overgenomen bedrijven met een zware rentelast werden opgezadeld. Toen de ineenstorting kwam, ging niet alleen Drexel-Burnham-Lambert failliet maar kwamen een groot deel van de 2.500 spaarbanken in moeilijkheden, die hun kassen rijkelijk hadden gespijsd met de erg rendabele junkbonds.
De Amerikaanse staat werkte een reddingsplan uit dat voorziet in 500 miljard dollar staatstussenkomst in de komende 30 jaar, waarvan 250 miljard tegen het jaar 2000. De banken zijn er amper beter aan toe: in 1990 gingen 170 (kleinere) banken failliet, maar nu staan ook de meeste grote banken op de rand van het bankroet. Vele Amerikaanse bedrijven zijn overladen met schulden en zien de recessie met angst tegemoet. (Hun totale schuldenlast is sinds 1982 verdubbeld tot 1.800 miljard dollar.)
Maar ook het Japanse financiële systeem is bijzonder kwetsbaar. De beurs kende reeds een eerste vrije val in 1990 en de banken zijn slecht ingedekt. De Japanse financiële overschotten hebben vooral de grondspeculatie aangezwengeld. De grondprijzen bereiken astronomische cijfers, waardoor immobiliën op hun beurt als onderpand dienen voor leningen. Wat gebeurt er bij de eerste crisis, wanneer de grondprijzen instorten? Volgens experten is de toestand minstens even explosief als in de VS.
Samengevat: het kleinste accident kan paniek veroorzaken, zoals reeds is gebleken bij de beurskrach van oktober 1987 en zijn echo van 1989. Tot nu toe zijn alle pogingen om een nieuwe monetaire orde in te stellen mislukt. Wellicht wordt de wereld meer en meer opgedeeld in monetaire zones, de ECU-zone (Deutsche mark), de Dollar-zone en de Yen-zone. Een situatie die erg lijkt op die van de jaren 30 en tekenend is voor de diepe tegenstellingen tussen de imperialistische blokken.
De bloeitijd komt automatisch terug, zegt het patronaat, als men de onwrikbare wetten van de kapitalistische logica respecteert: hoge winsten betekenen investeringen, investeringen betekenen werk, werk betekent hogere welvaart. Deze uiterst simpele en simplistische logica wordt in alle toonaarden, in alle continenten tot vervelens toe herhaald. Voor het patronaat is de crisis een heilzame zuiveringsperiode waarin de mechanismen van de vrijemarkteconomie worden hersteld. Volgens hen werden deze wetten in het verleden geweld aangedaan door de macht van de arbeiders en hun vakbonden en door het toenemende beslag van de Staat op het nationaal inkomen. Om het eenvoudig te stellen: te hoge lonen en te veel sociale voorzieningen hebben de kip met de gouden eieren gedood. Hoe sneller de ‘zuivering’, hoe sneller opnieuw een lange periode van hoge groei aanbreekt. Daarom moet alles plooien voor het herstel van de winst.
Zuivering betekent dan: ontdoen van ‘sociale uitwassen’ (hoge lonen ...), ‘sociale luxe’ (sociale zekerheid ...), ‘sociale rigiditeiten’ (sociale wetgeving ...). Zuivering betekent ook: rationalisering van het productieapparaat, sluiten van niet-rendabele ondernemingen, doorsluizen van de staatssteun naar toekomstgerichte sectoren en bedrijven. Dit zijn verschillende vormen om de winstvoet op te voeren. (Zie 12 bis.)
De zin van de kapitalistische productie ligt in de ‘valorisatie’ van kapitaal. Een kapitaalbezitter koopt gehouwen, machines, grondstoffen en werktuigen. Hij werft arbeiders aan en laat ze waren produceren die hij verkoopt op de markt. De bedoeling is dat de uiteindelijke opbrengst groter is dan het beginkapitaal. Dit noemde Marx de kapitaalcyclus:

De drijvende kracht in de kapitalistische productie is de winstvoet. De winstvoet is de ultieme graadmeter voor de rentabiliteit van het ingezette kapitaal. De winstmassa wordt afgemeten in verhouding tot het totaal voorgeschoten kapitaal, dat bestaat uit constant en variabel kapitaal (K = c + v). Het constant kapitaal (machines, gebouwen, grondstoffen ...) wordt zo genoemd omdat het in de loop van het productieproces geen nieuwe waarde schept, enkel de eigen waarde doorgeeft aan de producten.
Het variabel kapitaal (arbeidskracht) daarentegen schept nieuwe waarde tijdens het productieproces, een nieuwe waarde die verdeeld wordt in een deel dat de arbeidskracht aan de kapitalist kost (het loon) en een deel waarover hij vrij beschikt (de meerwaarde).
De arbeid is met andere woorden de enige bron van meerwaarde en winst.
De uitbuitingsgraad of meerwaardevoet (m’) wordt gemeten naar de verhouding tussen de meerwaarde (m) en het loon (v), het deel dat naar de kapitalist gaat tegenover het deel dat de arbeider krijgt:
m’ = m/v
De meerwaarde is niet identiek aan de winst, omdat de geproduceerde meerwaarde herverdeeld wordt tussen de kapitalisten. Maar er kan niet meer totale winst gemaakt worden dan er meerwaarde wordt gemaakt. Op globaal maatschappelijk vlak zijn totale meerwaarde en winst dus gelijk.
De winstvoet wordt gemeten als:
![]()
Op de winstvoet kan dus ingewerkt worden door verschillende patronale strategieën. Strategieën die de meerwaardevoet of uitbuitingsgraad verhogen (m/v), strategieën die besparen op het constant kapitaal of op de aanwending van het constant kapitaal (c), strategieën die de rotatiesnelheid van het kapitaal verhogen (w). Alles wat de noemer verkleint, vergroot de winstvoet.
Bij grote crisissen gaat een gedaalde winstvoet samen met een permanente overcapaciteit. De geproduceerde meerwaarde wordt slechts gerealiseerd als de producten verkocht worden op een markt, een afnemer vinden. Voor de patroons is er naast het rentabiliteitsprobleem een realisatieprobleem. Kapitalisten zullen slechts investeren in uitbreiding (accumuleren) als de verwachte winstvoet hoog genoeg is (boven de gemiddelde winstvoet) en wanneer ze erop kunnen rekenen voldoende afzet te vinden voor hun producten.
Daarom voeren de patroons, in crisis meer dan ooit, een dubbele strijd: voor het voor het verhogen van de winstvoet en voor het veroveren van markten (oude en nieuwe). Dit alles gebeurt onder een centraal ordewoord: de concurrentiepositie. Voor het vinden van nieuwe markten kan het patronaat drie wegen op: nieuwe producten ontginnen (nieuwe technologie), nieuwe gebieden veroveren (Oost-Europa) en markten van de concurrentie afsnoepen.
Het ordewoord bij uitstek, waarmee de patroons zich heel speciaal naar de vakbonden en de werkers richten, is de internationale concurrentiepositie. Het klopt dat de economie meer en meer internationale dimensie heeft: geen enkele serieuze kapitaalgroep kan zich nog verschansen binnen de eigen grenzen en overleven dank zij de bescherming van de eigen nationale staat. Het klopt dat de Belgische economie bovendien de meest open economie ter wereld is. Alle dominerende industriële sectoren (metaal, automobiel, chemie, petroleum, non-ferro, hoogtechnologische bedrijven) mikken op de uitvoer. De financiële groepen proberen zich een plaats te veroveren op de internationale scène. Het Belgisch grootkapitaal probeert zijn (technologische) achterstand op de internationale markten goed te maken. ‘Concurrentiepositie’ is de toverformule om van de regering alles gedaan te krijgen en bij de vakbonden ‘begrip’ te verwerven.
In naam van de concurrentiepositie werd de laatste tien jaar een reusachtige overdracht van de gezinnen en de staat naar de bedrijven gerealiseerd. De verdeling arbeid/kapitaal werd grondig gewijzigd ten voordele van het kapitaal en de rijkste bevolkingslagen. Dit wordt klaar aangetoond door de verdeling van het nationaal inkomen: het inkomen uit arbeid (loontrekkenden) daalde van 68,3 % in 1980 tot 58,3 % in 1988; de reserveringen van de vennootschappen (winst na belastingen en dividenden) stegen van 0,8 % in 1980 tot 5,5 % in 1988; de inkomens uit vermogen (onder meer dividenden) stegen van 14,3 % tot 19,3 %. In harde cijfers betekent het dat de reserveringen toenamen van 19 miljard in 1980 tot 268 miljard in 1988.?[48]
Deze massieve overdracht is niets anders dan toename van de uitbuitingsgraad, weerspiegeld in de verdeling van het nationaal inkomen. De ontwaarding van de arbeidskracht kwam tot stand langs rechtstreekse en onrechtstreekse ingrepen op de koopkracht, door aanvallen op het directe en het indirecte loon. De inlevering bedroeg gemiddeld 15 % van het inkomen.
Ondertussen werden ook de sociale uitkeringen ondergraven. De basisprincipes van de sociale zekerheid werden in de feiten herzien (van individuele naar gezinsuitkering, van procentuele uitkering naar bestaansminimum), de staatsbijdragen werden tot nul herleid voor werkloosheidsuitkeringen, en de crisislasten werden volledig afgewenteld op de werkers door bijdrageverhoging en indexsprongen. Na al die afbouw werd de sociale zekerheid opnieuw winstgevend, wat toelaat om opnieuw de patronale bijdragen te verminderen door de wildgroei van lastenvrije betalingssystemen (maaltijdcheques) aan te moedigen.
Het lot van de sociale zekerheid werd het lot van alle sociale staatsbudgetten: meedogenloze afbouw van de uitgaven, besnoeiing in de sociale voorzieningen, het onderwijs, de non-profitsector, het openbaar vervoer en de openbare dienstverlening. Dit was het hoofddoel van de ‘sanering van de staatsfinanciën’, waardoor nog meer ruimte vrijkwam voor geschenken aan de bedrijven en de rijken. Die komen er onder de vorm van vermindering van de vennootschapsbelasting (van 43 % naar 39 %), hervorming van het belastingsysteem, vermindering van de roerende voorheffing (van 25 tot 10 %).
Op dit ogenblik gaat de grootste patronale aandacht naar de maximale invoering van de flexibiliteit. Het is een andere methode om geweldig te besparen op de productiekost en de winstvoet gevoelig te verhogen, voornamelijk door besparing op het constant kapitaal (we komen hierop terug in hoofdstuk 2). Samen met de flexibele productievormen worden echter ook vele onzekere en onderbetaalde jobs gecreëerd (tijdelijken, onderaanneming ...), waardoor de globale loonkost daalt en de uitbuitingsgraad stijgt.
Op die manier hebben 15 jaar inlevering, soberheid en crisispolitiek de levensvoorwaarden van de werkende bevolking gevoelig verslechterd. Telkens volgt hierbij de belofte dat morgen alles beter wordt. Maar de concurrentiespiraal stelt steeds maar nieuwe eisen. Dezelfde kapitalistische crisisremedies worden immers over de hele wereld toegepast. Er is opbod en concurrentie tussen de kapitalistische landen om deze ‘sanering’ het snelst en het hardst door te voeren. De regering probeert de Belgische ondernemingen in de meest gunstige positie te brengen. Dat is haar gelukt met de competitiviteit van de loonkost. Dit is haar gelukt met de wetgeving op de flexibiliteit maar nog niet volledig met de sociale voorzieningen en het budgettekort.
Op 6 januari werd op initiatief van minister Claes de ‘wet ter vrijwaring van het concurrentievermogen’ van kracht. Tweemaal per jaar wordt een vergelijking gemaakt van de kostenparameters met de zeven belangrijkste handelspartners, waarna de regering volmacht heeft om in te grijpen in de loonvorming, de indexkoppeling en theoretisch ook in de financiële kosten en de energiekosten. In werkelijkheid is dit carcan niets anders dan het opleggen van een internationale norm voor de uitbuitingsgraad, een norm die door de bitsige concurrentiestrijd aan voortdurende druk naar beneden onderhevig is.
Nergens kan men zo duidelijk zien hoe de kapitalistische staat en het patronaat verstrengeld zijn als bij de industriële politiek in crisistijd. Herstel van winstvoet en verovering van nieuwe markten luidt de opdracht.
In een eerste periode (1978-1983) nam de staat de grote noodlijdende sectoren over van de privégroepen en voerde massale steun aan voor afbouw en sanering. De totale omvang van de staatsparticipaties door publieke holdings is in de periode 1975-1983 ongeveer vertienvoudigd (tot 54,5 miljard Belgische frank).?[49] Die publieke fondsen worden zonder enige vergoeding ingezet, en vaak met grote kans op vernietiging. Zo zouden 17 % van de participaties voor eigen rekening van de publieke holdings en 45 % van de participaties in opdracht van de staat (‘missions déléguées’) volledig verloren gegaan zijn op het eind van het boekjaar 1983-84.
Tijdens de periode 1973-1984 heeft de staat in totaal ongeveer 424 miljard Belgische frank ingezet in de vorm van deelnames, subsidies, garanties, dekking van verliezen en sociale begeleiding in de nationale sectoren.?[50] Zo heeft ze de volledige last van de rationalisering gedragen in de scheepsbouw, de staalindustrie, de glas- en de textielsector. De Generale Maatschappij, de groep Brussel-Lambert, Cobepa en Frère-Bourgeois konden zich zonder kleerscheuren, op kosten van de staat, terugtrekken uit de verouderde industrieën om zich te concentreren op de meest winstgevende.
Door liquidatie van de minst rendabele bedrijven, door massale vernietiging en ontwaarding van constant kapitaal, wordt de winstvoet van de overblijvende bedrijven opgetrokken.
In een tweede periode (1982-1990) concentreren de regeringsoffensieven zich op het draineren van vers geld naar de spitsindustrie. Door de wet Cooreman-De Clercq heeft ze gezorgd voor een omvangrijke toevloed van spaargelden naar de Beurs. De wet, die voorzag in fiscale vrijstellingen bij uitgifte en aankoop van speciale APV-aandelen, leverde in totaal 300 miljard Belgische frank vers kapitaal op aan de Belgische beursgenoteerde bedrijven. Twintig procent (62 miljard) daarvan ging naar de Generale of haar filialen; de eigen fondsen van de Generale stijgen van 9,5 miljard Belgische frank in 1980 tot 67,5 miljard Belgische frank in 1987.
Tegelijk heeft ook een verschuiving plaats in de vormen van subsidiëring. Waar vroeger zonder veel onderscheid subsidies werden toegekend, worden die meer en meer vervangen door fiscale vrijstellingen en gunstregimes. Dit bevoordeelt vooral de meest rendabele bedrijven, in tegenstelling met de rechtstreekse subsidies. Daar waar de theoretische vennootschapsbelasting tot voor kort op 43 % lag, bedroeg de werkelijk geïnde belasting slechts 30,6 %. In 1987 werden slechts 262 miljard van de 455 miljard reële belastbare winst in rekening gebracht.?[52] Een van deze gunstregimes wordt speciaal in het leven geroepen om multinationals naar België te lokken: de coördinatiecentra (1982). Het gevolg is dat elke Belgische groep met minstens een filiaal in het buitenland op staande voet een coördinatiecentrum opricht, dat een bijna volledige belastingvrijstelling geniet. Reeds meer dan 25 % van alle investeringen zouden langs coördinatiecentra worden gedraineerd en ook de (kunstmatige) winsten van deze papieren maatschappijen zwellen ongelooflijk snel aan. In een interne nota van de Nationale Bank wordt de fiscale aderlating op minstens 5 miljard per jaar geschat.
Deze verschillende vormen van staatscadeaus verlagen de kostprijs van het kapitaal en verhogen op die manier de winstvoet. Er wordt goedkoop kapitaal aangedragen voor herstructurering en investering.
Waartoe hebben al die opgetrokken winsten gediend?
1° Vooreerst tot rationalisaties. De bedrijfsinvesteringen in België bereikten in de periode 1976-1987 amper 10 tot 12 % van het BNP, een historisch laagtepunt. Het grootste deel van die investeringen waren rationalisatie-investeringen, die de productiviteit verhoogden maar geen uitbreiding van productie inhielden. In totaal werden er in die periode ongeveer 380.000 werkplaatsen vernietigd in industrie, door sluitingen en rationalisaties. In 1980 werden in Europa 11,5 miljoen voertuigen geproduceerd door 10 miljoen arbeiders en bedienden; in 1989 werden er 15, 8 miljoen geproduceerd met een derde minder personeel.?[53]
2° Tot het oppotten van reserves en beleggingsactiviteiten. Alle kapitaalgroepen en bedrijven hebben ‘te kampen’ met groeiende kapitaaloverschotten, geld dat geen productieve aanwending kent en wordt belegd op de kapitaalmarkten. Volgens de cijfers van de Nationale Bank legden de Belgische bedrijven in de periode 1980-1989 ongeveer 1.363 miljard Belgische frank opzij.?[54] Een multinational als Siemens heeft zich op die manier een spaarpot van 1.000 miljard Belgische frank verzameld.
3° Tot het kopen van markten door overnames en fusies. De inkomens uit belegging vormen een steeds groter deel van de beschikbare middelen. Uit een recente Franse studie blijkt dat ze ongeveer een derde van de financiële middelen (naast exploitatieoverschot en bankkredieten) uitmaken.?[55] Die ‘oorlogsbuit’ wordt meestal ingezet voor het opkopen van andere bedrijven of instellingen. Het is namelijk veel gemakkelijker markten over te kopen, dan ze door reclame en prijsconcurrentie af te snoepen. Het aantal overnames, participaties en fusies heeft in Europa de laatste jaren een fenomenale vlucht genomen en blijft toenemen naargelang de 1993-koorts stijgt. Voor de 1.000 belangrijkste Europese ondernemingen worden elk jaar het aantal fusies, participaties of joint-ventures genoteerd, er waren 558 operaties van die aard in 1986, 708 in 1987, 1.025 in 1988 en 1.122 in 1989.?[56] Tijdens de eerste drie maand van 1990 werd in de hele Europese Gemeenschap 11,6 miljard ECU (bijna 500 miljard Belgische frank) uitgegeven voor overnames!?[57] Op wereldvlak hadden in de eerste zes maanden van 1990 voor 62 miljard dollar (2.200 miljard Belgische frank) fusies en overnames plaats.?[58] Zelfs het fameuze gevecht uit 1988 voor de controle over de Generale verdwijnt erbij in het niets.
Het zijn cijfers die de omvang aangeven van de nooit eerder geziene concentratie van macht, rijkdom en grenzeloze vrijheid in handen van de grote internationale monopolies en financiële groepen. Daartegenover staat concentratie van armoede, uitbuiting en onderdrukking voor de arme landen en volkeren, voor de onderste bevolkingslagen en de werkers. Want overnames gaan steeds gepaard met sluitingen, rationalisaties en vermindering van de loonkost om het ingezette kapitaal zo snel mogelijk te recupereren.
De onderlinge concurrentie tussen de kapitalistische groepen en landen, staat in schril contrast met hun eensgezind optreden tegenover de derdewereldlanden. Als het erom gaat de oliebronnen veilig te stellen in het Midden-Oosten, sluiten alle imperialistische (en nu ook ex-socialistische) landen aaneen en hebben ze er een moorddadig, vernietigend militair conflict voor over. De inzet van de oorlog wordt op kernachtige wijze samengevat door Heiko H. Thieme, hoofdconsulent van de Deutsche Bank in New York: “Pas onlangs heeft men in Saoedi-Arabië olievelden ontdekt die nog groter zijn dan de bestaande. Je moet geen genie zijn om te begrijpen wat dat kan inhouden, tenzij een Saddam Hoessein of een of andere religieuze fanaticus die olievelden zou gaan controleren. Dat is waarom de VS zo krachtdadig heeft gereageerd. Zij willen die olievelden voor de vrije wereld bewaren en ze niet verkwanselen aan de fanatici, die in mijn ogen veel minder recht hebben om ze op te eisen dan de Westerse oliebedrijven. Die ontdekten ze en hebben ze uitgebouwd. De juridische eigendom ligt natuurlijk bij de landen aldaar, maar dat geeft geen ander land of buurland het recht die eigendom te stelen. Dat is het wat de wereld op een unieke wijze gezamenlijk heeft veroordeeld, voor de eerste keer helemaal verenigd.”?[59]
Door lage grondstofprijzen, hoge intrestlast en protectionisme wordt de crisis afgewenteld op de ontwikkelingslanden.
1° Lage grondstofprijzen verlagen de kostprijs van het constant kapitaal (vermindering c).
Nadat het verenigd front van petroleumproducenten uit de derde wereld (OPEC) in 1973 en 1979 rechtmatige prijzen opdrong voor de olie, gingen de imperialistische landen in het tegenoffensief. Het leidde tot een daling vanaf 1981 en de instorting van de olieprijs na 1985 (een verlies van meer dan 60 %). Vele grondstofprijzen en landbouwproducten uit de derde wereld werden mee naar beneden gezogen met de petroleumprijzen, mede door de slechtere krachtsverhoudingen.
2° Overplaatsing van arbeidsintensieve productie-eenheden naar de derde wereld bezorgen de multinationals spotgoedkope arbeidskrachten. Met lonen die een vijfde tot een twintigste bedragen wordt de productiekost (v) zo laag mogelijk gehouden. Derdewereldlanden worden tegen mekaar uitgespeeld om zo gunstig mogelijke productievoorwaarden te bekomen (belastingvrije zones, verbod op vakbondsactiviteit, onmenselijke arbeidsvoorwaarden).
3° Het imperialisme beschermt zijn eigen markten tegen invoer uit de derde wereld. De VS voert een financiële dumping met de dollarkoers en de EEG beschermt zijn markt met landbouwsubsidies.
Na de neokoloniale plundering van landbouwproducten en de grondstoffen hebben de imperialistische landen nu ook hun zinnen gezet op de controle van de dienstensector. De dienstensector is in vele derdewereldlanden nog afgeschermd tegen de grijparmen van de banken en monopolies. Tijdens de recente Uruguay-ronde van de GATT eisten de rijke landen de opening van de dienstensector, opheffing van de controle over de investeringen (zodat de derde wereld geen barrières meer mag opwerpen) en bescherming van de patenten en rechten van de monopolies (de zogenaamde intellectuele eigendom). Derdewereldspecialisten spreken over een regelrechte herkolonisatie, omdat elke zelfstandige ontwikkeling hierdoor wordt gecounterd.?[60]
Bij totale afwezigheid van marktperspectieven in de derde wereld, kijken de patroons sinds lang in de richting van de socialistische wereld. Na jarenlang hun hoop te hebben gevestigd op de Chinese markt, hebben ze alle krachten gebundeld om de Oost-Europese regimes te doen wankelen. Dank zij de hulp van Gorbatsjov hebben ze daarbij een onverhoopt snel succes geboekt. “Perestrojka en Glasnost hebben een groot succes van onschatbare waarde behaald”, schrijft de Deutsche Bank als besluit van een studie over de evolutie in Oost-Europa.?[61]
In de Europese landen, is sinds eind 1989 een ware invasie aan de gang. De ontmanteling van de staatsmonopolies en de omschakeling naar een kapitalistische markteconomie opent voor de Westerse en Japanse monopolies een zuurstoffles. De studie voorziet grote kansen voor levering van consumptiegoederen, maar ook voor afzet van hoogtechnologische materiaal, voor ondernemingen van grote werken, voor leveranciers van machines, voor energie- transport- en communicatiebedrijven. (p. 71.) De studie betreurt een zekere terughoudendheid van de privégeldschieters. Zij wachten af tot de politieke risico’s kleiner zijn en de nieuwe ‘democratieën’ met massale injectie van Westerse steun de weg hebben geplaveid voor het grootkapitaal.
Wie niet afwacht zijn de autoproducenten die een verbeten strijd voeren voor de inpalming van de Oost-Europese automarkt. Algemeen wordt verwacht dat de automarkt in de gewezen COMECON-landen kan verdubbelen tegen het jaar 2000, tot een afzet van ongeveer 4 miljoen wagens. Volkswagen heeft zich in elk geval van de beste hapjes voorzien, met de overname van de Zwickau Trabantfabriek in Oost-Duitsland en van Skoda in Tsjecho-Slowakije. Fiat heeft zich reeds vroeger ingegraven in de Russische en Poolse markt en General Motors ging met de Wartburg-fabriek aan de haal (Eisenach). Hongarije wordt een aantrekkingspool voor onderdelenproductie, bestemd voor uitvoer.
Het zijn hoe dan ook alleen de meest interessante bedrijven die de eer genieten opgegeten te worden door de Westerse kannibalen. Minstens een derde van de bedrijven gaat onherroepelijk dicht, wegens te weinig winstkansen op de vrije markt. Veel veroordeelde bedrijven leveren nuttige producten, maar dit is nu eenmaal niet langer het criterium. Hoe meer er gesloten wordt, hoe meer de markt opengaat voor westerse producten. Bovendien wordt hierdoor op grote schaal constant kapitaal vernietigd, wat de winstvoet voor de overblijvende bedrijven gevoelig de hoogte injaagt. (Zie 12 bis.) De massale vernietiging van kapitaal draagt ertoe bij om de overproductiecrisis van de Westerse monopolies te verlichten. De Treuhandanstalt, het organisme dat als opdracht heeft de Oost-Duitse economie te privatiseren, brengt de 8.000 oude staatsondernemingen in verschillende categorieën onder. Eind 1990 waren 500 van de beste al verkocht (waaronder de technologische spitsbedrijven Zeiss en Robotron) ...
Tenslotte biedt Oost-Europa een goudmijn aan hooggeschoolde, goedkope arbeidskrachten. De kwalificatie is goed en de lonen liggen op een derde of een vierde. Het werklozenleger dat in ijltempo aanzwelt, vervult voor het patronaat een dubbele rol. Ten eerste, houdt het de lonen ter plaatse onder druk en laat het de grofste chantage toe bij investeringen (IKEA investeert in Polen op voorwaarde dat er geen vakbond wordt toegelaten!). Ten tweede, wordt het een reservoir voor invoer van goedkope, gekwalificeerde arbeidskrachten. De patronale druk is groot om die reserves aan te boren en de immigratie te bevorderen.
Gedurende de hele crisisperiode heeft het loden gewicht van de ACV-leiding gewogen op elke verzetsbeweging. De hoogste ACV-leiding trad op als rechtstreekse handlanger en politieke bondgenoot van de regering, die de patronale verzuchtingen in bikkelharde programmawetten en herstelplannen omzette. Gedurende die hele tijd speelde de ACV-leiding de rol van bevoorrecht consultant achter de schermen, die de regering nauwkeurig adviseerde hoever ze kon gaan, welke compromissen haalbaar waren, wat zij bij haar basis erdoor kon krijgen. Alfons Verplaetse, kabinetschef en vertrouweling van Wilfried Martens, speelde hierbij als oud ACV-man de tussenpersoon (Hij werd sindsdien gepromoveerd tot gouverneur van de Nationale Bank). Die medewerking van minstens een vakbondstop was gedurende de scherpste crisisjaren (1982-1986) van vitaal belang om de opeenvolgende stakingsgolven te overleven. Toen Jef Houthuys in 1984 spontaan zijn lof uitsprak over het spaarplan van Hertoginnedal, werd hij prompt door premier Martens geprezen voor zijn ‘zin voor staatsmanschap’. Waarop gefluisterd werd dat Houthuys, naast de zes excellenties, de zevende man aan tafel was geweest.
De boodschap die vooral door Houthuys, Decuypere, Lindemans (studiedienst) en de ACV-proost werd gebracht, luidt in grote lijnen als volgt (vrij naar Jef Houthuys):
In crisis komen de fundamentele (christelijke) waarden weer naar boven: de keuze tussen collectivisme en markteconomie, prioriteit van individu en gezin, solidariteit tussen alle bevolkingslagen in de verdeling van de lasten en verantwoordelijkheidsbesef.
De toepassing van deze waarden betekent: allen samen zoeken naar oplossingen binnen het bestaande systeem van ‘gemengde markteconomie’. Men mag zich niet opsluiten in het ‘getto’ van de ‘schuldvraag’: wie is schuldig voor de crisis? Iedereen is schuldig, iedereen zit in dezelfde boot, iedereen moet roeien om zich te redden. Daarom moet de arbeidersklasse het materialisme (alleen maar aan eigen beurs denken) en het negativisme (kankeren op het systeem) bekampen. Zij moet integendeel de solidariteit (solidariteit tussen de klassen en solidariteit binnen de werkende klasse) herontdekken. De eerste vorm van solidariteit werd na de oorlog gedemonstreerd. Er moet een soort nieuw sociaal pact komen op basis van de huidige economische gegevens. Patronaat en vakbonden moeten boven alles het overleg herstellen om te komen tot een nieuw klassepact. De arbeidersklasse moet daarbij de golden sixties vergeten en rekening houden met de nieuwe economische limieten. Die limieten (‘onze waarheid’) worden aangegeven door ‘onze’ grote nationale instellingen, zoals de Nationale Bank. Daar valt niet aan te tornen. Bij de noodzakelijke inlevering moet de tweede vorm van solidariteit gelden, de solidariteit tussen de ‘rijke’ arbeiders en de minstbedeelden. De bevoorrechte lagen (diegenen die nog werk hebben, de rijkste sectoren) moeten het meest inleveren. De arbeidersklasse moet meer inzage krijgen (democratisering) opdat zij beter de noodzaak van de inlevering zou begrijpen en zou zien dat de anderen ‘het spel’ eerlijk spelen. Zo kan het land uit de moeilijkheden komen, dit wil zeggen: een nieuwe maatschappij opbouwen die niet langer zweert bij het materialisme, maar nieuwe (christelijke) waarden vooropstelt: het individu, het gezin, de solidariteit, de verantwoordelijkheidszin. De overheid moet zich minder mengen in de betrekkingen tussen patroons en vakbonden, maar moet zich ook minder laten afremmen door ‘drukkingsgroepen’ (de vakbonden!) De regering moet krachtdadig de nodige aanpassingen van de economie doorvoeren (het immobilisme en de blokkade doorbreken). Anders zullen die aanpassingen ons van buitenaf worden opgedrongen. Alleen solidariteit kan het failliet van de Staat, blinde ingrepen, devaluaties, enz. voorkomen. Daarom zijn ‘politieke stakingen’ (tegen het regeringsbeleid) uit den boze en tegen het belang van de gemeenschap en van de kleine man. De vakbond doet niet aan politiek (regeringen doen vallen). Deze morele waarden, deze geest van samenwerking van alle bevolkingslagen worden op politiek vlak vertaald en gerealiseerd in de CVP. Het ACV moet trouw zweren aan de CVP. De ACW-keuze van maart 1986 en de verkiezingsuitslag van 13 oktober 1985 tonen de ‘grote dosis gezond verstand van de arbeidende bevolking’.
Hier is niets meer te bespeuren van enige klasseopstelling. Patronaat en arbeidersklasse hebben geen eigen visie op de crisis, er is maar één waarheid en dat is de waarheid van de markteconomie. De christelijke ethiek dient enkel opdat de arbeidersklasse deemoedig het hoofd zou buigen, opdat de werkers de ‘solidariteit in de armoede’ zouden aanvaarden.
De hele ACV-top is ondertussen vernieuwd en het blijft de vraag in hoeverre de filosofische ondergrond van dit optreden nog aanwezig is. Op het laatste ACV-congres werd triomfantelijk het ‘tegenoffensief’ geblazen, na 15 jaar ‘defensief’. Het is natuurlijk gemakkelijker zich strijdbaar op te stellen als de economie heropleeft. In hoeverre is het echter een breuk met het ‘morele syndicalisme’ zoals het tijdens die zware inleveringsperiode door de meest rechtse fractie in de vakbondsleiding werd gepredikt?
Een grote groep vakbondsleiders vertrekt niet vanuit morele overwegingen, maar gewoon vanuit het ‘realisme’, om tot gelijkwaardige stellingen van klassensamenwerking te komen. De ergste crisisjaren werden volgemaakt met het duo Houthuys-Vanden Broucke aan het stuur. Vanaf het begin zette André Vanden Broucke zich af tegen het ‘dogmatische, doctrinaire syndicalisme’ van zijn voorganger. Niet toevallig was Vanden Broucke jarenlang voorzitter geweest van de sterke Algemene Centrale. Aan de top van de centrales is de ‘realistische’ stroming traditioneel sterk vertegenwoordigd, zowel in het ACV als het ABVV. Met het aantreden van Vanden Broucke hadden ze een officiële woordvoerder. Waar Debunne altijd de corporatistische visies van de centrales bekampte, domineerden die nu veel sterker de globale vakbondsstandpunten. Hun visie wordt door Vanden Broucke ongeveer als volgt geformuleerd:
Met naar schuldigen te zoeken voor de crisis heb je nog geen oplossing. De crisis heeft het kapitalisme versterkt in plaats van verzwakt. De krachtsverhoudingen zijn in ons nadeel. De arbeiders voelen dat de inlevering onrechtvaardig is, maar hebben vooral schrik om hun werk te verliezen. Daarom moet ons alternatief haalbaar, geloofwaardig, realistisch zijn. We moeten het patronaat en de regering tonen dat we redelijk zijn, niet strak en sectair. De arbeiders zijn bereid tot offers, als ze gelijk zijn verdeeld en vooral als ze iets opleveren. Stakingen hebben niets opgeleverd. Er werd al voldoende ingeleverd, extra loonverlies moet worden vermeden. Daarom moet het stakingsmiddel zeer omzichtig worden gebruikt. Het moet selectief toegepast worden en kan niet de enige vorm van actie zijn. De vakbond moet nieuwe, moderne actievormen ontwikkelen.
Het model van dit ‘moderne syndicalisme’ moest de campagne ‘Kaarten op tafel’ worden. Het nieuwe ‘frisse’ ABVV, met een nieuwe stijl, werd ontwikkeld door een reclamebureau. Het ABVV heeft nooit een fletsere, plattere campagne gevoerd dan deze. De campagne werd ineen getimmerd volgens de basisopvatting dat de aanklacht de strijd kan vervangen.
De aanhangers van het ‘realistische syndicalisme’ leggen de oorsprong van hun opvattingen bij de ‘nieuwe krachtsverhoudingen’, bij de ‘crisisreflex van de arbeiders’. Dit zijn gemakkelijke excuses om hun eigen capitulatie tegenover het patronaat en de regering te verantwoorden De eigenlijke oorsprong ligt bij hen.
Het ‘realistische syndicalisme’ vertrekt vanuit een begrip voor de moeilijkheden van het kapitaal, voor de concurrentiepositie van de bedrijven, de toestand van de schatkist. Kortom, het beschouwt de kapitalistische logica en wetten als onvervangbaar en niet te ontlopen. De ‘realisten’ vinden zichzelf dan ook het best terug in de programma’s van de socialistische partijen, die variaties zijn op het thema van inlevering en sanering. Het ‘realistische’ alternatief dat in 1984 door het ABVV werd opgesteld, werd praktisch integraal door de regering overgenomen. Het plan steunde op twee pijlers. Vooreerst: arbeidsduurvermindering met de opbrengst van de productiviteitsverhoging om werk te scheppen zonder de competitiviteit te schaden en ten tweede omzetting van staatsschulden op korte naar schulden op lange termijn om de budgetsanering ten koste van de werkers te verzachten. Op het eerste voorstel werd door de regering ingegaan door de kaderwet voor 1985-1986, waarbij onderhandeld mocht worden om 1,5 % van de loonmassa te gebruiken voor arbeidsduurvermindering met aanwervingen. Ook het tweede werd uitgevoerd, maar was, jammer voor de ABVV-leiding, een operatie waaraan de banken, door de snelle rentedaling achteraf, een ferme stuiver hebben verdiend op kosten van de schatkist.
Vanuit het standpunt van het realisme heeft de nationale ABVV-leiding in 1987 een akkoord over de flexibiliteit ondertekend in de Nationale Arbeidsraad. Opnieuw werd hierbij dezelfde redenering opgevoerd: beter een slecht akkoord aannemen dan een zeer slecht akkoord opgelegd te krijgen. Om te verhinderen dat de patroons in de bedrijven de flexibiliteit ‘wild’ gingen toepassen, aanvaardde de vakbondsleiding (dit geldt evenzeer voor de ACV-leiding) een kaderakkoord voor invoering van de flexibele arbeidsvormen: CAO 42. Intussen is voldoende gebleken dat CAO 42 de poort wijd open heeft gezet voor superlange arbeidsdagen (tot 12 uur), voor nachtwerk en weekendwerk.
Vanuit het standpunt van het realisme worden in de sectoren herstructureringsprogramma’s aangenomen en mee doorgevoerd door secretarissen van centrales. Tegenover geen enkele aanval van het grootkapitaal en regering wordt een principevaste mobilisatie op gang gebracht. De fundamentele lotsverbondenheid met de kapitalistische economie en het ‘realisme’ dwingt hen systematisch verder achteruit, van capitulatie naar capitulatie. Als meest verregaande eisen, die dan nog meestal meer symbolisch worden gesteld, wordt opgekomen voor garanties dat de inlevering werk oplevert (onder vorm van investeringsfondsen, verplichte aanwervingen ...) en voor het afremmen van al te schandalige cadeaus aan het patronaat en de rijkste bevolkingslagen.
Tegenover dit ‘realisme’ had het ‘doctrinaire syndicalisme’ op zijn minst een aantal correcte afweerargumenten ontwikkeld Ten eerste: de arbeiders zijn niet verantwoordelijk voor de crisis, zij moeten er niet voor opdraaien. Ten tweede: toegeven op de competitiviteit en andere patronale eisen, brengt een internationale spiraal van afbraak op gang, waarbij de arbeiders van de verschillende landen steeds meer tegen elkaar uitgespeeld worden. Daartegen moet een internationaal front van verzet tot stand komen, zo niet wordt de arbeidersklasse tot de grootste miserie, fascisme en oorlog teruggedreven.
Tegenover de ‘nieuwe actievormen’ (alternatieven voor staking) stelde het ‘doctrinaire syndicalisme’ dat de staking altijd de belangrijkste actievorm van de werkende bevolking zal zijn. Zij is inderdaad de enige die de kapitalistenklasse in het hart zelf treft: de productie, bron van meerwaarde en winst.
In september 1989 worden André Vanden Broucke (nationaal), Jean Gayetot (Wallonië), Georges Derieuw (Vlaanderen) en Henri Carpentier (Brussel) vervangen. De opvolging onder aanvoering van François Janssens en Mia De Vits roept vele vragen op, niet in het minst omdat de nieuwe voorzitter amper een jaar voordien uitpakte met stevige verklaringen voor een ‘modern syndicalisme’ dat zich nog harder zou afzetten tegen ideologische posities. Het is duidelijk dat daarmee vooral de ideologie van klassenstrijd en antikapitalisme wordt bedoeld: “Een vakbond staat niet vijandig tegenover een onderneming en haar ontwikkeling. De mensen die wij vertegenwoordigen zijn zeer aan hun onderneming gehecht. Zij halen daar hun inkomen uit. Wij hebben dus evenzeer als de directie het recht te eisen dat de ondernemingen goed draaien, dat zij zich verbeteren. [...] Als soepele arbeidstijden en flexibiliteit goed zijn voor de onderneming, waarom zouden wij ze dan onbespreekbaar verklaren? Als de kwaliteitskringen goed zijn voor de onderneming, waarom er dan niet over praten?”?[62]
Kenmerkend voor dit nieuwe soort realisme, is dat het bijzonder begaan is met de ‘publieke opinie’, de ‘look’ en het ‘imago’ van de vakbond. Typerend is dat de nieuwe ABVV-leiding start met een grootse opiniepeiling onder de leden, waarop men natuurlijk de antwoorden krijgt en selecteert die men zoekt: “Het klassieke thema van de macht van het kapitaal en van de werknemers scoort vandaag niet zo hoog meer.” Wat heeft men zelf aan begeesterende voorstellen op dat vlak te bieden? Hoe heeft men in het verleden de mensen met halfslachtige kluitjes in het riet gestuurd? Op de vraag “Welke organisaties hebben de meeste macht?” heeft 28 % de financiële groepen aangeduid en 20 % de multinationals. Hoe heeft men zelf de kans verkwanseld om tijdens de raid op de Generale het probleem in al zijn scherpte te stellen?
In werkelijkheid wordt opnieuw de eigen onwil om stevige klassenstrijd te voeren weggestopt achter de ‘wil van de leden’. De eigen capitulatie voor de grote patronale offensieven wordt begraven onder de ‘volkswil’. Waarom voert men geen referendum rond een klaar strijdplan met klare ordewoorden? Waarom baseert men zich niet op de resultaten van de sociale verkiezingen die uitwijzen dat de beste resultaten worden behaald waar de strijdbaarste délégués opkomen? De délégués van Cuivre et Zinc, Cockerill-Sambre, het Waasland, de mijnen, Sidmar en FN hebben die resultaten niet gehaald door opiniepeilingen te organiseren maar door hun inzet en vastberadenheid, door hun jarenlange opvoedingswerk onder de massa.
Men kan stellen dat de huidige ACV-leiding, met Willy Peirens, Robert D’Hondt, Luk Cortebeeck en André Daemen heel dicht staat bij dit nieuwe ‘realistisch pragmatische syndicalisme’ en minder moreel gekleurd en minder CVP-minded is dan de oude ACV-leiding. Het eerste resultaat was een toenadering tussen de twee vakbondsleidingen en een herstel van het gemeenschappelijk vakbondsfront. De toenadering is wellicht evenzeer het gevolg van de minder acute economische situatie en de ontstane speelruimte voor kleine toegevingen. In het eerste gemeenschappelijk pamflet van de beide vakbonden kan men rond de flexibiliteit de volgende typische benadering lezen: “ABVV en ACV willen dat geen enkele werknemer langer dan 11 uur per dag (12 voor weekendploegen) en 50 uur per week aan het werk blijft en dat iedereen tussen twee arbeidsprestaties minstens 11 uren kan rusten.”?[63]
In 1886 vielen de eerste doden in de strijd voor de achturendag (waarna 1 mei de officiële strijddag werd van de werkers over de hele wereld); vandaag trekken de vakbondsleiders ten strijde voor de elfurendag. Het realisme kent geen grenzen.
Fundamenteel in de opstelling van de vakbondsleiding is de houding tegenover de patronale sirenezang van de ‘competitiviteit’. De dooddoener bij uitstek om de loonkost te drukken, de flexibiliteit te vergroten en werkplaatsen te liquideren.
Sinds 1982 worden hiermee heel speciaal de lonen onder schot gehouden. Om de concurrentiepositie te herstellen op de buitenlandse markten, trok de regering toen aan de noodrem: een devaluatie met opheffing van een indexaanpassing. Zelfs de meest weerbarstige vakbondsleiders lieten zich door deze brutale ingreep van de regering verlammen. (Zie 031.) Het jaar daarop werd nogmaals 3 % ingeleverd door de 5-3-3 operatie en sectoren in moeilijkheden kregen 10 % loonverlies bovenop. Vanaf 1983 kwam de loonkost onder permanent toezicht van de regering te staan, die op elk moment kan ingrijpen. De budgettaire wet van 1983 bepaalt dat de arbeidskost niet sneller mag stijgen dan het gewogen gemiddelde van de zeven belangrijkste handelspartners (vijf Europese, de VS en Japan). Ook de herstelwet van 1985 legt deze beperking op. Het stelt de regering geen problemen om dit te doen respecteren: loonsverhogingen waren tussen 1982 en 1986 eenvoudig verboden. Men hoeft niet onder een dictatoriaal bewind te leven om de staat als autoritaire redder van het kapitaal te zien optreden.
De terugkeer naar ‘vrije onderhandelingen’ en het heraansluiten bij de traditie van de interprofessionele akkoorden kan in de ogen van patronaat en regering alleen gebeuren wanneer de vakbondsleiding bereid is om de eisen te matigen en ook in staat is de nodige discipline op te leggen aan haar troepen. Vanaf 1986 lijkt de toestand rijp; de vakbondsleiders bewijzen met een onbetekenend laag eisenprogramma dat ze het vertrouwen waard zijn en na tien jaar komt er opnieuw een interprofessioneel akkoord. De concurrentiepositie groeit in 1987-1988 naar een optimum en dat wil de regering zo houden. Daartoe heeft ze een ‘competitiviteitsnorm’ nodig, waarvoor ze het advies vraagt van de ‘Centrale Raad voor het Bedrijfsleven’. In het advies kan men de fundamentele opstelling van de vakbondsleiders opmerken; ze betwisten niet het opstellen van een concurrentiebarometer en het recht van de regering om tussen te komen, maar onderstrepen dat niet alleen de evolutie van de loonkost gemeten mag worden. De CRB suggereert een hele reeks normen, waarvan een deel door Willy Claes in zijn “Wet van 6 januari 1989 tot vrijwaring van ’s lands concurrentievermogen” opgenomen wordt. Het referentiejaar wordt 1987: wanneer het Belgisch aandeel op de buitenlandse markt van de zeven belangrijkste handelspartners daalt en een van de andere factoren gaat in het rood, dan komt een overlegprocedure op gang om hieraan te verhelpen. Bij uitzonderlijke voorvallen (de Golfoorlog) kan de regering na een spoedprocedure zelf optreden en bijvoorbeeld loonakkoorden opschorten en indexmanipulaties toepassen.
Kortom: de vakbondsleiders laten zich vrijwillig opsluiten binnen een concurrentiecarcan, staan mee in voor het respecteren ervan, maar blijven de maatstaven ervan betwisten. Zij verklaren zich ‘even bezorgd over de concurrentiepositie van de Belgische bedrijven als de patroons’ maar hun kritieken slaan hoofdzakelijk op twee aspecten:
1° De uitvoerpositie kan om andere redenen dan de strikte productiekost in het gedrang komen. Dit is met name het geval sinds de Belgische frank de sterke positie van de Duitse mark volgt. Inderdaad, de sterke frank maakt de export duurder en doet de loonkost, berekend in buitenlandse munt stijgen. De daling van het handelsoverschot is hoofdzakelijk te wijten aan de sterke muntpolitiek.
2° De loonkost meten in uurloon vervalst volledig het beeld. De enige maatstaf kan zijn: de loonkost per eenheid product, waardoor de zeer hoge Belgische productiviteitsstijging in rekening wordt gebracht. Professor Paul De Grauwe (KUL) berekende de loonkost per eenheid product in vergelijking met twintig andere landen, uitgedrukt in gemeenschappelijke munt en kwam tot volgende resultaten: “In de jaren 70 was er een sterke stijging van de loonkost in België. Van een index van 90 in 1973 stegen we tot een index van 105 in 1980, een merkbare verslechtering van onze competitieve positie. Vanaf 1981-1982 zie je een fantastische verbetering van niet minder dan 30 punt ten opzichte van de twintig belangrijkste industriële landen. Sinds die verbetering zie je wel wat op- en neerwaartse bewegingen maar op een lager niveau.”?[64]
Bij de afsluiting van het interprofessioneel akkoord 1991-1992 (27 november 1990) bleek echter overduidelijk dat ABVV- en ACV-leiding zich helemaal binnen het gecijfer van de concurrentiële normen willen opstellen. Om de in 1990 ‘verloren concurrentiekracht’ te recupereren voorzagen de CRB-berekeningen een maximum ruimte van 1 % loonkostenverhoging voor 1991 en 2 % voor 1992. Het eisenprogramma lag tussen 2 à 3 % en het uiteindelijke akkoord kostte 0,09 % in 1991 en 0,47 % in 1992, hiermee nog enkele kruimels overlatend voor de sectoriële en bedrijfsakkoorden. Het akkoord werd ingeleid door een intentieverklaring die aan duidelijkheid niets te wensen overlaat: “De partijen zijn gehecht aan de vrijheid van onderhandelen in sectoren en bedrijven. De partijen zijn eveneens bezorgd om de vrijwaring van de concurrentiekracht als draagvlak van economische activiteit en tewerkstelling. De vertegenwoordigers van werkgevers en werknemers zullen dan ook in de komende loonronde op alle overlegniveaus rekening houden met volgende elementen: de plaats van België in de Europese eenheidsmarkt van einde 1992, de monetaire politiek die de BEF koppelt aan de sterke munten van de EEG, de evolutie van het concurrentievermogen in 1990 zoals zij tot uiting komt in het septemberverslag van de Centrale Raad voor het Bedrijfsleven en de onzekerheid rond de uitkomst van de Golfcrisis.”
Een ander bezwaar van de vakbondsleiders tegen een concurrentienorm is dat structurele elementen, zoals de aard van de producten, de technologie en innovatie, de kwaliteit van het management ... veel zwaarder doorwegen op de markten dan de andere factoren. Met andere woorden: de vakbondsleiding verwijt het patronaat een fundamenteel gebrek aan dynamisme. De vakbondsleiding meent dat het Belgische kapitalisme te veel op zijn lauweren rust, te weinig investeert in onderzoek en nieuwe technologie, gemakkelijk profijt nastreeft door geldbelegging en speculatie in plaats van risico te nemen. Het verwijt is sinds de crisis in alle scherpte naar voor gekomen maar is niet nieuw. In 1954-1956 was het de hoofdteneur van de ABVV-congressen over structuurhervormingen. De veroudering van de Belgische industrie, haar gebrek aan productiviteit en haar gebrek aan specialisering in de hoogtechnologische sectoren, wordt toegeschreven aan de financiële oriëntatie van de controlerende holdings (de Generale Maatschappij in het bijzonder). De kritiek wordt in alle hevigheid hernomen wanneer de staal- en scheepsbouwcrisis toeslaat vanaf 1975-1977. De holdings zijn niet dynamisch, zijn alleen uit op direct rendement en niet op toekomstgerichte investeringen luidt het. De holdings hebben geen industriële politiek maar zijn alleen geïnteresseerd in de dividenden. De holdings laten de streek vallen om naar interessantere gewesten te trekken.
Wanneer De Benedetti begin 1988 opduikt, is de verwachting bij vele vakbondsleiders dan ook hoog gespannen. Eindelijk een dynamische kapitalist die het Belgische establishment wakker schudt. De posities die ingenomen worden, variëren van ‘het kan nooit slechter zijn’ tot nauwelijks verholen enthousiasme. Voor Jean Gayetot (secretaris Waalse Intergewestelijke) is Carlo De Benedetti “ongetwijfeld het symbool van een geëngageerder kapitalisme, een dynamischer kapitalisme” en heeft hij een “niet te verwaarlozen pluspunt”.?[65] In een gemeenschappelijke verklaring van ACV en ABVV wordt officieel geen kamp gekozen maar wordt aan beide partijen gevraagd een ‘gedurfd industrieel kapitalisme’ aan de dag te leggen.
Heel veel van de federalistische ijver van de vakbondsleiding (vooral in Wallonië) wordt eveneens vanuit deze optiek bepaald. De eigen regionale industrie zou veel dynamischer zijn dan de vermolmde nationale holdings. Of een dynamische politiek van de gewestelijke instellingen zou nieuw leven inblazen in de plaatselijke kmo’s. De analyse gaat zover dat vele vakbondsleiders een structurele opsplitsing gaan maken tussen financieel en industrieel kapitaal. Financieel kapitaal zou van nature het kortetermijnrendement zoeken en parasitair zijn, terwijl het industrieel kapitaal op lange termijn denkt en ondersteund moet worden. De vakbondsleiding kiest dus tussen ‘goede’ en ‘slechte’ patroons. De industriële politiek van nationale en gewestregering moet dan voordelen toekennen aan de ‘goede’ patroons.
De diepe, structurele crisis van kapitalisme toont meer dan wat ook, het failliet van het systeem. De crisis toont de onoplosbaarheid van de tegenstellingen die het kapitalisme verscheuren. De productieverhoudingen zijn een rem geworden op de ontplooiing van de productiekrachten. De crisis toont ook het failliet van het reformisme en haar keynesiaanse economische theorieën. Alle ideologieën van ‘geleidelijke verovering’ van de staat en de economische macht worden door de feiten verpletterd. Het zijn de arbeiders, de werkers, de volkeren van de derde wereld die de crisis hebben betaald, terwijl de monopolies en banken zich versterkten en verrijkten.
Het uitgangspunt van een strijdbaar syndicalisme moet dan ook zijn om de val van dit uitbuitingssysteem te verhaasten. Dit wil zeggen: steun verlenen aan de strijd van de onderdrukte volkeren en aanhouden van een onverzoenlijk klassestandpunt. Tegenover de illusie van een welvarend en ‘rechtvaardig’ kapitalisme, stelt het revolutionaire syndicalisme het perspectief van het socialisme, de noodzaak om het grootkapitaal te onteigenen en het kapitalistische staatsapparaat te ontmantelen. Tegenover het samen zoeken naar uitwegen in de kapitalistische concurrentieoorlog stelt het revolutionaire syndicalisme dat de crisislast gedragen moet worden door de verantwoordelijken voor de crisis.
Het reformisme hoopt op een spoedige en spontane heropleving van de kapitalistische economie en is bereid daaraan mee te werken. Maar geen enkele van de zogenaamde oplossingen maakt de toekomst van het kapitalisme rooskleuriger. Volgens de bourgeois-doctrines (en daar rekenen we de sociaaldemocratie bij) zal de kapitalistische welvaart en rijkdom vroeg of laat afstralen op de armen en uitgebuiten van deze aarde, als ze maar zwijgen en werken. Maar alle ‘oplossingen’ voor de crisis versterken nog de ongelijkheden, versterken de kloof tussen Noord en Zuid, tussen rijk en arm. Onlangs nog kwam het befaamde Brundtland-rapport tot dezelfde conclusie: “Er zijn vandaag meer mensen op de wereld die honger lijden dan er ooit geweest zijn in de menselijke geschiedenis en hun aantal stijgt nog.”?[66] De ontzaglijke weelde van enkelen gaat samen met een ontzaglijke miserie van de overgrote meerderheid, omdat de weelde gebouwd is op uitbuiting. Daarom moet dit systeem vroeg of laat verdwijnen, ook al zal dit nooit spontaan gebeuren. Of zoals Mao stelde “Het marxisme bevat duizenden waarheden, maar ze zijn alle te herleiden tot één essentie – ‘Het is juist om in opstand te komen’.”
Tegenover de idee van een ‘natuurlijke’ beweging, een eeuwigdurende opgang en neergang van het kapitalisme, stelt het marxisme dat het kapitalisme wordt aangevreten door een algemene crisis. Het is de opeenstapeling van structurele problemen en zwakheden die vroeg of laat tot zijn ineenstorting zal leiden. Ook al zijn tijdelijke heroplevingen uit de structurele crisis niet uitgesloten, de grote problemen van het kapitalisme worden minder oplosbaar en tonen het historische failliet. De tegenstellingen tussen imperialistische blokken hebben tot de Eerste Wereldoorlog geleid. De expansieve ambities van het Duitse en Japanse grootkapitaal leidden tot de installatie van het nazisme en de Tweede Wereldoorlog. Het Europa van vandaag onder Duitse controle heeft nieuwe grootmacht ambities die zullen leiden tot nieuwe conflicten. Met de Golfoorlog is een periode van veralgemeende Noord-Zuid conflicten ingeluid, waarbij de rijke landen samen vechten voor de overleving van de imperialistische wereldorde.
Het meest tastbare teken van de algemene crisis en verrotting is de aanhoudende en zelfs toenemende militarisering in de imperialistische landen. De NAVO-landen gaven in 1987 in totaal 17. 000 miljard Belgische frank uit aan defensie!?[67] Velen hadden gehoopt op een ‘vredesdividend’ na het verdwijnen van de rivaliteit tussen de supermachten. De Golfoorlog heeft getoond dat de rijke landen al een nieuwe bestemming hebben gevonden voor de wapenproductie: het gewelddadige onderdrukken van elk nationalistisch onafhankelijkheidsstreven in de derde wereld. Met de Golfoorlog probeert het Amerikaanse en Westerse imperialisme hun controle te behouden over een strategische grondstof, de olie, en over een strategisch gebied, het Midden-Oosten. Het Amerikaanse imperialisme zoekt ook een oplossing voor zijn eigen economische problemen. De gesofisticeerde technologie vindt meer dan ooit haar belangrijkste afzetmarkt in oorlogstuig. Ook Europa gaat die weg op. Maar de Golfoorlog schept op termijn veel meer problemen voor het imperialisme dan hij er oplost.
Het socialisme wordt een levensnoodzaak voor de honderden miljoenen die uitgesloten zijn van de rijkdom van het kapitalisme. Het socialisme is ook voor de arbeidersklasse in de imperialistische landen de enige weg om een einde te maken aan de uitbuiting en de kringloop van crisis, militarisering, fascisme en oorlog. Het strijdsyndicalisme moet voorbereid zijn op zware crisissen en het zijne bijdragen om de val van het kapitalisme te verhaasten.
Het ontbreekt de vakbonden duidelijk aan visie op de toekomst, aan een ideologie met mobilisatiekracht. De pleidooien van de vakbondsleiding voor realisme zijn niets anders dan een onderwerping aan de kapitalistische en imperialistische realiteit.
1° De wereld is nog nooit vooruitgegaan door zich te plooien naar de bestaande situatie. ‘Realisme’ betekent dat men zich schikt naar wat het kapitalisme kan aannemen, dat men randhervormingen voorstelt die de kapitalistische macht in geen enkele mate raken. Het is een onderwerping aan wat het kapitalisme ‘normaal’ vindt: de winst voorop, de wetten van de markt, de imperialistische wereldorde. Welke eisen stelt men tegen de banken die de staatskas plunderen (25 % van het jaarlijks budget!) en die meer geld uit de derde wereld halen dan ze eraan lenen? Voor het grootkapitaal, het IMF, de regering, kan men alleen marktconforme maatregelen nemen, dat wil zeggen herschikken maar zeker niet afschaffen van intresten of van de schuld.
Maar wat brengt dit ‘realisme’ op aan een land als Brazilië, dat tussen 1972 en 1988 176 miljard dollar interest betaalde aan de banken, of 64 miljard meer dan zijn totale uitstaande schuld? Alleen al de intrestlast van 1988 staat gelijk met “266 miljoen maandlonen aan het levensminimum, of met 81.700 klaslokalen, of met een woning voor 30 miljoen personen”.?[68]
‘Realisme’ betekent dat men geen eisen kan stellen die raken aan de rijken, de monopolies, de privé-eigendom van de productiemiddelen. Dat men rekening houdt met de concurrentiepositie, met de crisis, met de moeilijkheden van de bedrijven, enz. Toegevingen in naam van het realisme gaan ervan uit dat ze ‘aanvaardbaar’ moeten blijven voor het kapitaal en zijn staat. Realisme is dat de sociale voorzieningen in crisistijd onmogelijk overeind kunnen blijven; realisme is dat de lonen onmogelijk sneller kunnen stijgen dan in de concurrerende landen. Het resultaat van al dat realisme ligt onloochenbaar vast in de cijfers: als we aannemen dat door de inlevering tussen 1980 en 1988, 8,8 % van het BNP van de loontrekkenden naar de kapitaalbezitters is gevloeid (zie 121), dan betekent dit elk jaar een verschil voor de werkers van ongeveer 475 miljard Belgische frank.
Dezelfde vaststelling geldt op democratisch vlak. ‘Realisme’ betekent toegevingen doen aan het opkomende racisme en fascisme. Gelijke politieke rechten, integraal stemrecht voor immigranten is in naam van het ‘realisme’ geschrapt uit de vakbondsprogramma’s. Op die manier wordt stap voor stap teruggeweken voor fascistische propaganda en dringt het racisme onder ‘aanvaardbare’ vorm binnen in de vakbondsdoctrine.
Het is precies het doel van de vakbond om de krachtsverhoudingen zo om te keren dat de kapitalistische logica verslagen wordt. Hoe kan anders ooit van een andere, niet winstgerichte maatschappij worden gedroomd? De verovering op het kapitaal begint pas als ‘het onrealistische’ werkelijkheid wordt.
2° Heel dikwijls wordt met die ‘krachtsverhoudingen’ gegoocheld om het ‘realisme’ te rechtvaardigen. André Vanden Broucke: “Ook al is het onbekwaam om een antwoord op de werkloosheid te vinden, toch is het kapitalisme de laatste tijd versterkt en niet verzwakt. Jammer voor Marx en zijn theorie, maar dat is de werkelijkheid. Sinds de crisis bevindt de arbeider zich in een verzwakte positie en daar moeten we ons als vakbond scherp bewust van zijn.”?[69] Dit scherpe bewustzijn ontbreekt inderdaad niet. Minder scherp is de wil om krachtsverhoudingen op te bouwen en om te gooien door maandenlange, desnoods jarenlange mobilisatie. Het hoofdprobleem is dat het opbouwen van krachtsverhoudingen alleen kan gebeuren rond radicale eisen, die enthousiasme kunnen wekken, wanneer de massa ervaart dat de strijd ernstig wordt genomen. De vakbondsleiding gaat doorgaans omgekeerd te werk: de eisen worden aangepast aan de ‘krachtsverhoudingen’, die doorgaans de krachtsverhouding aan de onderhandelingstafel zijn. Strijdbaar realistisch zijn is een goede inschatting maken van de mobilisatiekracht van de massa, de bereidheid om te vechten en die maximaal gebruiken. Het vakbondsrealisme maakt vooral een inschatting van wat men van het patronaat door onderhandelingen kan los pingelen.
Daar komt een ander punt bij. Als men zelf voortdurend de eisen ontkracht om het kapitaal te ontzien, is men zelf verantwoordelijk voor de verminderde actiebereidheid van de massa. Uit de ABVV-enquête zou moeten blijken dat de arbeidsduurvermindering minder enthousiasme wekt dan vroeger. Maar de eis van 36 urenweek, zoals hij in 1976 door Debunne werd vooruitgeschoven is in de loop van de jaren zo afgezwakt, in stukjes gekapt, aan loonverlies gekoppeld (5-3-3 operatie) dat hij volledig naast het doel geschoten is (werkplaatsen scheppen door arbeid te verdelen). Hoe wil men dat de arbeiders enthousiast naar meer van dat vragen? In het verleden werden al vaker eisen naar voor geschoven die als ‘antikapitalistisch’ aangekondigd werden, maar zo werden uitgehold dat ze naar het patronaat toe als ‘redelijk’ voorgesteld konden worden. Dit was onder meer het geval met de nationalisatie-eisen van De Man in de jaren 30 en van Renard in 1954-1956. Zowel De Man als Renard argumenteerden vanuit de noodzaak om het kapitalisme efficiënter te maken en dat was meteen de reële inhoud van hun plan. De grote mobilisaties van de massa die ermee gepaard gingen, leidden in beide gevallen tot grote ontgoocheling toen duidelijk werd dat het systeem deze ‘antikapitalistische plannen’ perfect wist te integreren en er dankbaar uit putte om zich te versterken. Was een mobilisatie voor échte onteigening, gedurende een langere periode niet veel vruchtbaarder geweest voor het bewustzijn en de antikapitalistische strijd dan deze nepmobilisaties? Het resultaat is ontgoocheling, afkeer voor structurele eisen, demobilisatie. Dit alles pleit voor radicale eisen met een geplande, systematisch opgevoerde actie en tegen vals ‘realisme’.
3° Het ‘realisme’ beperkt de eisen tot onmiddellijke objectieven. Hoe verder in de toekomst hoe groter de waas van onduidelijkheid. Hoe kan men structurele antikapitalistische eisen realiseren als men niet een langere periode van bewustmaking en mobilisatie voor precieze ordewoorden voorziet? Een uitgebouwd programma moet voorzien in directe eisen die het lot van de werkers verbeteren en in langere termijneisen. Zelfs al zijn deze laatste niet direct realiseerbaar, ze zijn onontbeerlijk om een antikapitalistisch perspectief te geven.
Tijdens de twee grootste stakingen van deze eeuw, de staking van 1950 en die van ’60-’61 werd door sommige vakbondsleiders het federalisme als structurele eis naar voor geschoven onder de massa. Het is een voorbeeld van hoe structurele eisen door langdurige mobilisatie ingang kunnen vinden, vooral tijdens belangrijke bewegingen. Jammer genoeg is het helemaal geen voorbeeld van een antikapitalistische eis. De Verenigde Staten en Duitsland zijn federalistische staten en het grootkapitaal heeft zich ondertussen perfect aangepast aan de nieuwe Belgische staatsstructuren. De arbeidersbeweging in Wallonië ontdekt vandaag dat zij gedurende dertig jaar heeft gestreden voor een alternatieve kapitalistische structuur met precies dezelfde machthebbers en precies dezelfde financiële, economische en sociale oriëntaties (Denk maar aan de zes weken lange leraarsstaking van 1990).
Daarom pleiten we voor wezenlijke antikapitalistische eisen op langere termijn die de macht van het kapitaal aantasten en uiteindelijk vernietigen. De onteigening van belangrijke delen of van het gehele grootkapitaal is zo’n wezenlijke stap naar het socialisme, waarop de massa vanaf nu gericht moet worden.
De logica van de concurrentiepositie is uiterst vernietigend voor het klassenbewustzijn. Door het concurrentiekader aan te nemen, wordt het syndicalisme in zijn kern ondermijnd. Alle arbeiders hebben dezelfde belangen, terwijl de patroon hen concurrent wil maken. De vakbondsleiders wijzen de concurrentiepositie niet principieel af als uitgangspunt, maar voeren strijd op het terrein van het patronaat door het betwisten van de cijfers.
1° Er is een radicaal onderscheid tussen twee uitgangspunten: ofwel de kapitalistische concurrentiestrijd ofwel de noden en belangen van de werkende klasse. Wie zich opsluit in de logica van de concurrentiestrijd wordt meegezogen in het verdedigen van de winstvoet, de productiviteit, de laagste productiekost en dus in het opdrijven of minstens tolereren van de uitbuiting. Strijdbare syndicalisten laten de concurrentiecijfers waar ze thuishoren, in de patronale hoofdkwartieren, en bestuderen de cijfers van de sociale ongelijkheid en onrechtvaardigheid. De vakbonden nemen hun taak op als ze uitgaan van de realiteit van de lonen, de werkomstandigheden, de groeiende economische uitbuiting en niet van het patronale winststreven.
2° Elke verovering uit het verleden werd door het patronaat bekampt met chantage van sluiting en failliet. Het patronaat zal altijd de concurrentiepositie inroepen; eisen zoals de achturendag, de veertigurenweek zijn altijd begonnen met doorbraken in het patronale front. Als het patronaat gelijke concurrentievoorwaarden wil, hoeft het die doorbraken maar zo snel mogelijk te veralgemenen.
3° De inzet van de concurrentiepositie is de hoogste uitbuiting. Het kan best zijn dat allianties met het patronaat voor de concurrentiepositie tijdelijk bepaalde voordelen opleveren, zoals behoud of winst van werkgelegenheid. Men betaalt die echter dubbel en dik terug. Men wordt harder uitgebuit en de ene toegeving brengt de volgende mee. Want men verliest op het vlak van de krachtsverhoudingen, en dat zal het patronaat niet ongebruikt laten. Het kan dus best zijn dat het een zeer kortstondige ‘overwinning’ wordt. Het patronaat kent geen dankbaarheid maar alleen concurrentiepositie. Wat vandaag een overwinning is kan morgen een nederlaag worden wanneer elders nog goedkoper kan geproduceerd worden. Inleveren en toegeven biedt geen enkele garantie op werk of wat dan ook. Integendeel, elke zwakheid wordt vroeg of laat uitgebuit.
4° Zich vereenzelvigen met de patronale belangen is een oorlogsverklaring aan andere arbeiders. De waanzin bereikt een hoogtepunt wanneer arbeiders uit filialen van dezelfde groep tegen elkaar worden uitgespeeld. De vakbondsleiders van Ford-Genk hebben door hun extreme toegeeflijkheid tegenover zaterdagwerk en nachtwerk de Sierra-productie van Ford-Dagenham in Groot-Brittannië weten te ontfutselen (1989). Alle arbeiders verliezen door deze houding: in Dagenham verliezen 500 arbeiders hun werk, in Genk wordt nachtwerk ingevoerd om de productie te kunnen opvoeren, het werk in drie ploegen wordt voortaan ook de maatstaf voor andere filialen in Europa en straks voor alle automobielproducenten.
5° Meedraaien in de concurrentiepositie leidt tot grotere plundering en onderdrukking van de derde wereld. Wat zal het standpunt zijn wanneer jonge derdewereldindustrieën beginnen uit te voeren, technologie-overdracht eisen of hun markten afschermen voor ‘onze’ monopolies? In de textielindustrie maken patroons en vakbondsleiders één front tegen de afschaffing van de multivezelakkoorden zoals dat door de derde wereld wordt geëist. Volgens de Wereldbank kosten die akkoorden 8 miljard dollar per jaar aan de derde wereld.?[70]
6° Meer werk door een betere concurrentiepositie?
Sinds het begin heeft het kapitalisme de concurrentie onder de arbeiders voor werkplaatsen gebruikt. Eerst op lokaal vlak, daarna nationaal, nu internationaal. De hardst werkende en de minst kostende ‘krijgt’ werk. Het zijn dus geen nieuwe werkplaatsen, ze worden steeds aan andere werkers ontnomen. De uitgespaarde productiekost kan morgen gebruikt worden om te rationaliseren en werkplaatsen te liquideren. Maar zelfs al kan inleveren of buigen voor het patronaat soms (tijdelijk) enkele werkplaatsen opleveren die men van andere arbeiders afpakt, negen keer op de tien dient de ‘concurrentiepositie’ om werkplaatsen te liquideren door rationalisaties.
7° Het is een spiraal zonder einde.
Indien alle arbeiders evenveel inleveren om ‘hun’ patroon te ondersteunen in zijn concurrentiepositie, haalt de inlevering niets uit, behalve een algemene verhoging van de uitbuitingsgraad. Het concurrentievoordeel speelt slechts in die mate dat men sneller is dan de concurrent. De norm van de grootste uitbuiter wordt dan de norm van alle uitbuiters. Er is nooit een evenwicht, noch een einde. Deze spiraal kan alleen doorbroken worden wanneer de werkers elkaar steunen in het bieden van weerstand.
Als men zich eenmaal op het terrein van het kapitalisme plaatst, is de keuze tussen ‘goede’ en ‘slechte’ kapitalisten een logisch uitvloeisel. Het is dan ook niet verwonderlijk dat de steun aan het ‘dynamische kapitalisme’ even oud is als het reformisme. Kapitalisten als Solvay en Francqui (Société Générale) hadden de steun van Vandervelde en zijn partij, ook voor koloniale veroveringen. De Generale werd pas onder vuur genomen toen zij haar ‘dynamisme’ kwijtraakte, dat wil zeggen achterstand opliep bij de multinationals.
Het kan nooit de rol van de arbeidersbeweging zijn om meer kapitalisme te eisen of om te kiezen tussen soorten kapitalisme. Wat betekent ‘dynamisme’ binnen het kapitalisme anders dan ‘het nauwst aansluitend bij de mechanismen van de markt’? Met andere woorden: de kapitalisten die het agressiefst inspelen op de evolutie van het kapitalisme, zijn het meest dynamisch. Zij die harder saneren, sneller afdanken en beter opjutten, hebben de meeste kans op overleven. Zij die het best inspelen op de goedkope arbeidskrachten in de derde wereld nemen voorsprong op hun concurrenten. Zij maken de hoogste winsten en kunnen het meest investeren, of bedrijven kopen om hun controle uit te breiden. Het zijn deze ‘winners’ die in de smaak vallen van de voorstanders van het dynamische kapitalisme.
Verder is de vermeende scheiding tussen industrieel en financieel kapitaal vanuit verschillende oogpunten een fictie. Vanuit het oogpunt van het eigendom bestaat er hoe langer hoe meer versmelting tussen industrie- en bankkapitaal, tussen financiers en ondernemers. De hele geschiedenis van de Generale Maatschappij, als bank en holding, is hiervan een illustratie. Maar ook op wereldvlak zijn de financiële groepen, met verweven activiteiten in bank- en industriesector, sinds het begin van deze eeuw de echte centra van de macht. Duitsland, Japan en de Verenigde Staten worden geregeerd door financieel kapitaal, een vervlechting van bank- en industriekapitaal.
Vanuit het oogpunt van de strategie is er bovendien een duidelijke tendens om de financiële activiteit een groeiend belang binnen de industriële strategie toe te kennen. Daar zijn verschillende redenen voor: de bedrijven hebben een overschot aan financiële reserves, er kan grof geld verdiend worden door speculatie op de internationale kapitaalsmarkten, de nieuwe technologie slorpt enorme kapitalen op. Men ziet dan ook meer en meer bedrijven of groepen die hun eigen financiële huizen uitbouwen. “De overleving van de onderneming, haar identiteit, haar voortbestaan hangen in de eerste plaats af van haar financiële strategie” stelt de ‘industrieel’ Jacques-Henri David, PDG van de Franse groep Saint-Gobain.[71] Vandaag is de grens tussen industriële en financiële activiteit bijzonder vaag geworden. De speculatieve, parasitaire activiteit zit ingebakken in de industriële activiteit. Zij die beweren die twee uit elkaar te halen, jagen hersenschimmen na. Het kapitalisme zelf is een parasitair systeem dat als geheel bekampt en verslagen moet worden.
_______________
[30] De belangrijkste daarvan zijn de ideologische congressen van april 1990 (ACV) en van november 1990 (ABVV).
[31] OCDE, Mc Cracken-rapport, juni 1977: “Pour le plein emploi et la stabilité des prix”, p. 17.
[32] F. Hayek, “Full Employment at Any Price?”, Occasional Paper 45, The Institute of Economic Affairs, 1975, p. 24.
[33] OECD, “OECD leading indicators and business cycles in member countries 1960-1985”, Main Economic Indicators: Sources and Methods, nr. 39, januari 1987.
[34] Paul Kennedy, The Rise and Fall of the Great Powers, Random House, New York, 1987, p. 353 en 358.
[35] OCDE, Ajustement structurel et performance de l’économie, 1987, p. 287.
[36] Voor België werd dit aangetoond in E. S. Kirschen e.a., Distribution et redistribution des revenus entre groupes socioprofessionnels (1953-1977), Dulbea, Bruxelles, 1980.
[37] United Nations Centre on Transnational Corporations, Transnational Corporations in World Development, United Nations, New York, 1988, p. 24.
[38] Center on Budget and Policy Priorities, “Drifting Apart: New Findings on Growing Income Disparities Between the Rich, the Poor and the Middle Class, 1990”, in Dollars & Sense, oktober 1990.
[39] OECD, National Accounts.
[40] Hiervoor verwijzen we naar het boek De wereld wankelt, Ludo Martens, EPO, 1991.
[41] Deutsche Bank Economics Department, Special Eastern Europe, 1 februari 1990, p. 7.
[42] Ch. Kegels en J. P. Abraham, “Schuldenmoeheid: Van schuldherschikking naar schuldverlichting”, Paribas, Economische Berichten, speciaal nummer 1990/2, p. 22.
[43] Susan George, A Fate Worse Than Debt, Pelican, London, 1988, p. 62.
[44] Broad & Cavanagh, “No more NICs”, Foreign Policy, Fall 1988.
[45] Banque Mondiale, Rapport sur le développement dans le monde 1990: La Pauvreté, pp. 31-32.
[46] Sandrine Treiner, “Une locomotive industrielle”, Science et Technologie, septembre 1990, p. 18
[47] Unctad, Trade and Development Report, 1990]
[48] Nationaal Instituut voor de Statistiek, Nationale Rekeningen, 1990
[49] Jean-Francois Escarmelle, L’état industriel dans les politiques de sortie de crise, Cabay, 1985, p. 26
[50] Tijdschrift van de Nationale Bank van België, augustus 1988.
[51] Dienst Studiën en Documentatie van het Ministerie van Financiën, Financieel Economische Tijd, 30 mei 1989.
[52] Le Monde, 12 januari 1990.
[53] Verslag Nationale Bank 1989, tabel VI, p. 100, Som van het netto financieringsvermogen van de vennootschappen (2.4).
[54] CERC (Centre d’étude des revenus et des coûts), “L’utilisation des ressources des entreprises”, L’Humanité, 16 november 1990.
[55] Commissie EEG, Report on Competition Policy, 1986 tot 1990.
[56] Translink’s European Deal Review, juni 1990.
[57] Onderzoek van ‘Deal Watch’, De Financieel-Economische Tijd, 19 juli 1990.
[58] Beleggersalmanak Trends, 1 december 1990, “Een gouden decennium”, p. 25.
[59] Chakravarthi Raghavan, Recolonisation: GATT, the Uruguay Round & the Third World, Third World Network, Zed Books, 1990.
[60] Deutsche Bank, Economics Department, Special Eastern Europe, februari 1990, p. 79.
[61] Interviews in La Libre Belgique, 5-6 maart 1988 en De Standaard, 26 februari 1988.
[62] “1990 sociaal jaar”, januari 1990.
[63] “Geen reden tot ingreep in loonindexering”, De Morgen – Ter Zake, 15 september 1990.
[64] Radiokroniek RTBF, 9 februari 1988.
[65] Wereldcommissie over milieu en ontwikkeling, Our Common Future, Oxford University Press, 1987, p. 29.
[66] U.S. Arms Control and Disarmament Agency, 1988.
[67] Volgens een document van de Braziliaanse Raad van Christelijke Kerken, geciteerd in Claude Julien, “Voyage au pays du capitalisme réel”, Le Monde diplomatique, februari 1990.
[68] Interview De Morgen, 20 december 1982.
[69] Wereldbank, Textiles Trade and the Developing Countries, 1990.
[70] Jacques-Henri David, “Entreprise et innovation financière”, Commentaire nr. 41, 1988.